导读
类风湿
NORD-STAR(北欧风湿病策略试验与注册研究)试验预设亚组分析的主要目的是评估两种活性常规治疗方案48周时的临床疾病活动指数(CDAI)缓解概率。

研究设计

Study design
NORD-STAR(北欧风湿病策略试验与注册研究)试验是一项研究者发起的随机、开放标签、评估者设盲研究,纳入符合2010年美国风湿病学会(ACR)/EULAR分类标准的早期RA患者。初治、中重度疾病活动度(定义为基于28个关节的疾病活动评分[DAS28]>3.2且C反应蛋白[CRP])且
主要结局是口服组与注射组48周时的CDAI缓解概率。
关键次要临床结局包括48周及之前的CDAI缓解、48周及之前的其他缓解标准(ACR/EULAR Boolean缓解、DAS28缓解和简化疾病活动指数[SDAI]缓解),以及CDAI、DAS28、HAQ残疾指数、SDAI、CRP、66个肿胀关节数、68个压痛关节数、医师总体评估,以及以下患者报告结局:SF-36和PASS。
关键次要影像学结局是从基线到48周的总vdHSS变化、无影像学进展(总vdHSS从基线到48周变化<1)、从基线到48周的vdHSS侵蚀评分(ES)和vdHSSJSN评分变化。我们还计算了进展超过最小可检测变化(SDC)的患者比例,反映超过测量误差的进展。
安全性结局是口服组和注射组发生严重和非严重不良事件的患者数量和百分比。

研究结果

Results
基线人口统计学和疾病特征
主要结局和关键次要临床结局
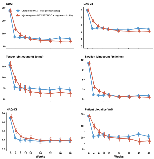
口服组48周调整后CDAI缓解率为36%,注射组为55%;口服组与注射组调整后差异为19%,注射组更优(图1和图2)。口服组应答出现更早。24周前口服组应答更好,但此后曲线交叉。48周时,所有临床结局均一致显示注射组更优。主要结局的敏感性分析和额外非预设分析显示相似结果。48周时CDAI 50%、CDAI 75%和CDAI 85%的调整后差异分别为5%、13%和24%,均有利于注射组。口服组24周和48周CDAI LDA达标率分别为76%和85%,注射组分别为94%和91%。

图1.(A-E)口服组和注射组主要及关键次要临床结局(二分类变量)随时间的变化。误差线表示95%置信区间(CI)。对于Boolean缓解,患者总体评分的临界值设定为14。(F)从基线到48周vanderHeijde改良Sharp评分(vdHSS)变化的累积概率图
ACR:美国风湿病学会;CDAI:临床疾病活动指数;DAS28:基于28个关节的疾病活动评分;EULAR:欧洲抗风湿病联盟;HCQ:羟氯喹;IA:关节腔内;MTX:甲氨蝶呤;SDAI:简化疾病活动指数;SSZ:柳氮磺胺吡啶;vdHSS:vanderHeijde改良Sharp评分

图2. 经基线变量(国家、性别、抗瓜氨酸蛋白抗体状态、基线结局值、随机化分组及时间点[分类变量])调整后,口服组和注射组关键次要临床结局(连续变量)随时间的变化
ACPA(抗瓜氨酸蛋白抗体);CDAI(临床疾病活动指数);DAS28(基于28个关节的疾病活动评分);HAQ-DI(健康评估问卷残疾指数);HCQ(羟氯喹);IA(关节腔内);MTX(甲氨蝶呤);SSZ(柳氮磺胺吡啶);VAS(视觉模拟量表)
其他次要结局
从基线到48周的总vdHSS调整估计平均变化较低。口服组为0.26(95%CI 0.08-0.43),注射组为0.77(95%CI 0.52-1.03),两组调整后差异为0.52。SDC为1.43。口服组进展超过SDC(反映超过测量误差的进展)的患者比例为8.8%,注射组为23.8%。
24周时,口服组患者在各项患者报告结局上略优,而48周时结果相反(图1和图2)。口服组几乎所有患者在32周时仍使用口服泼尼松龙(图3A)。泼尼松龙中位剂量从基线的20.0mg/天降至8周的7.5mg/天(四分位数5.0-15.0mg/天)和12周的5.0mg/天(四分位数5.0-10.0mg/天)(图3C)。40周时,剂量为0.0mg(四分位数0.0-5.0mg),47%的患者仍使用口服泼尼松龙;48周时,剂量为0.0mg(四分位数0.0-2.5mg)/天,33%的患者仍使用(图3A、C)。注射组无患者使用口服泼尼松龙。注射组接受关节腔内注射的患者比例迅速下降,8周后注射次数和剂量较低(图3B、D)。48周时口服泼尼松龙中位累积剂量:口服组1905.0mg,注射组0.0mg。关节腔内注射(转换为等效泼尼松龙mg)的相应累积剂量分别为0.0mg和165.0mg。48周时口服/关节腔内糖皮质激素平均每日合并剂量:口服组5.7mg泼尼松龙/天,注射组0.5mg泼尼松龙/天。

安全性结局
未报告可疑非预期危害。口服组和注射组发生任何不良事件的患者比例分别为90%和85%,严重不良事件分别为12%和6%。口服组感染发生率(53%)几乎是注射组(30%)的两倍,而其他特殊关注事件大致相似。口服组因疗效不足或不良事件提前终止的比例(15%)是注射组(5%)的3倍。

研究讨论和结论

Discussion and Conclusions
在这项NORD-STAR试验的预设非随机亚研究中,初治RA患者接受三联疗法和关节腔内糖皮质激素注射的患者(注射组)中约一半达到主要结局(48周CDAI缓解),而接受甲氨蝶呤和口服泼尼松龙的患者(口服组)中约三分之一达到。48周时其他缓解标准也呈现类似模式。
注射组48周临床结局更优的一个解释可能是关节腔内糖皮质激素注射在炎症部位达到高浓度。值得注意的是,48周内糖皮质激素累积剂量口服组是注射组的10倍以上。两组影像学进展均较低,口服组更低。这一发现可以用两组糖皮质激素剂量差异解释。糖皮质激素已被证明可阻止影像学进展。
总体而言两种治疗策略均安全。研究者认为口服组(甲氨蝶呤和口服泼尼松龙)感染发生率更高与糖皮质激素累积剂量更高有关。糖皮质激素诱导的
总之,本NORD-STAR试验预设非随机亚组分析探讨了两种活性常规治疗方案(甲氨蝶呤联合口服泼尼松龙 vs 三联疗法联合关节腔内糖皮质激素)在DMARD初治早期RA患者中48周结局的差异。两种方案均有效且安全,但接受关节腔内糖皮质激素和三联疗法的患者临床结局更优,糖皮质激素累积剂量更低。相反,尽管两种治疗策略影像学进展总体较低,但接受甲氨蝶呤和口服泼尼松龙的患者影像学进展更少。研究提示在早期RA管理中,包括糖皮质激素给药途径和csDMARD组合在内的常规治疗策略有优化潜力。
(本网站所有内容,凡注明来源为“医脉通”,版权均归医脉通所有,未经授权,任何媒体、网站或个人不得转载,否则将追究法律责任,授权转载时须注明“来源:医脉通”。本网注明来源为其他媒体的内容为转载,转载仅作观点分享,版权归原作者所有,如有侵犯版权,请及时联系我们。)