血液系统恶性肿瘤(包括霍奇金淋巴瘤[HL]、
因此学者利用最新数据,评估了全球、中国和美国血液恶性肿瘤的疾病负担、流行趋势、风险因素,并对未来进行预测,重点关注中、美两国的差异。近日发表于《Chinese Medical Journal》,通讯作者为北京大学人民医院

数据来源:GLOBOCAN 2022(国际癌症研究机构)和全球疾病负担研究GBD 2021(健康指标与评估研究所)。
分析指标:新发病例数、死亡数、年龄标化发病率(ASIR)、年龄标化死亡率(ASMR)、估计年度百分比变化(EAPC)、伤残调整生命年(DALYs)。
分析维度:全球、中国、美国;性别、年龄组、人类发展指数(HDI)水平;1990-2021年时间趋势;归因风险因素(吸烟、高BMI、职业性苯/甲醛暴露);2022-2050年预测。
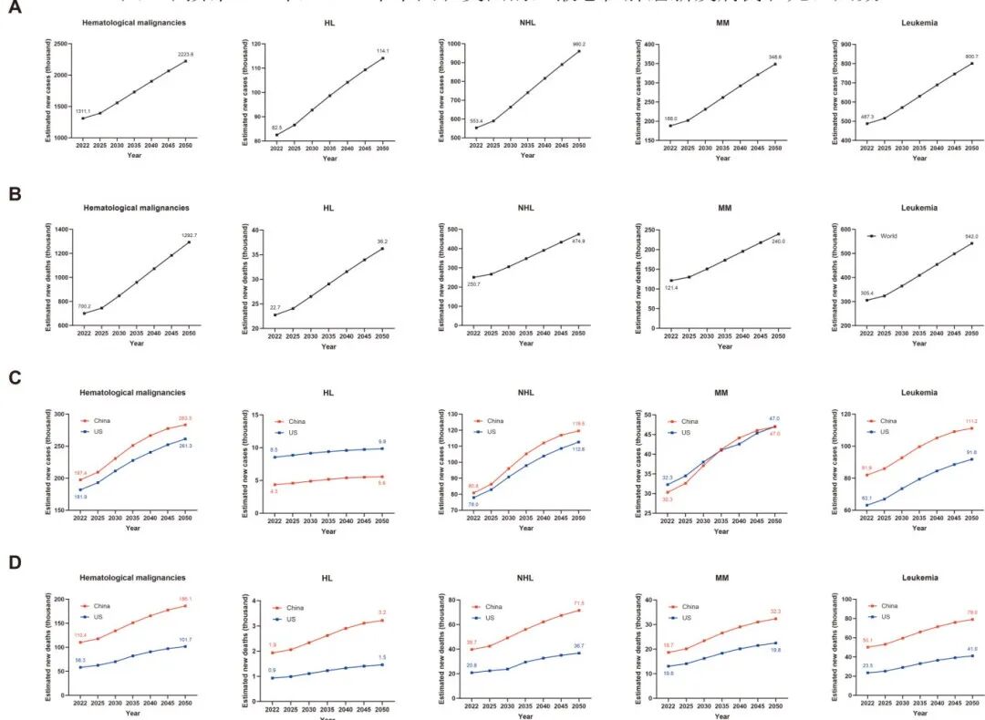
2022年血液肿瘤负担概况:
全球:新发1311104例(占所有癌症6.56%),死亡700205例(占所有癌症7.19%);年龄标准化发病率(ASIR)为13.58/10万,年龄标准化死亡率(ASMR)为6.82/10万。男性负担高于女性。发病率随HDI升高而增加。
NHL:发病率第10位,死亡率第11位(最常见)
白血病:发病率第13位,死亡率第10位
MM:发病率第21位,死亡率第17位
HL:发病率第26位,死亡率第28位
中国:新发197438例(占全球15.06%),死亡110367例。ASIR(9.51/10万)和ASMR(4.73/10万)低于全球和美国水平。发病率方面,血病(4.54)> NHL(3.53)> MM(1.21)> HL(0.23)。
美国:新发181894例(占全球13.87%),死亡58283例。ASIR(30.65/10万)和ASMR(7.33/10万)远高于全球和中国水平。发病率方面, NHL(12.54)> 白血病(11.15)> MM(4.80)> HL(2.22)。
年龄与性别:>50岁患者占70%以上,负担随年龄增长而增加。男性ASIR和ASMR普遍高于女性。



性别与年龄特征
性别差异:男性发病率和死亡率均高于女性(全球ASIR:16.13 vs 11.24;ASMR:8.29 vs 5.53)
年龄分布:
70%以上新发病 例和死亡病例发生在50岁以上
负担在85岁以上年龄组达到峰值(ASIR:123.47/10万)
HL呈双峰分布:15-35岁和60岁以上两个
1990-2021年趋势变化:
全球:NHL和MM的ASIR呈上升趋势(EAPC分别为0.31和0.48),可能与诊断标准更新、诊断技术进步、人口老龄化及风险因素暴露增加有关;HL和白血病的ASIR呈下降趋势。除MM外,其他亚型ASMR均下降。
中国:NHL、MM、白血病的ASIR均显著上升;死亡率除MM外均下降。
美国:所有亚型的ASIR和ASMR均呈下降趋势。
构成比变化:全球和中国NHL新发病例占比已超过白血病,成为最常见亚型,但白血病仍是死亡的主要原因。

归因风险因素:
吸烟:全球范围内,吸烟是导致白血病男性DALYs和死亡的最主要因素。中美差异显著:中国男性吸烟归因比例远高于女性;美国男女吸烟归因比例差异较小,均为首要因素。
高BMI:全球范围内,高BMI是导致白血病女性DALYs和死亡的最主要因素,也是NHL和MM的重要风险因素。
职业暴露:苯和甲醛的职业暴露对白血病负担亦有贡献。
2022-2050年预测:
预计到2050年,全球新发和死亡病例将分别增长至222万(+69.6%)和129万(+84.6%)。
中国新发和死亡病例预计将达到283270例和186070例,增长率(43.5%和68.6%)低于全球平均。
低HDI国家的病例数增长幅度最大,预计增幅超过100%。

中美差异显著:
发病率:美国远高于中国,可能与更高的HDI、更完善的诊断和筛查、以及不同的风险因素暴露有关。
疾病谱:美国以NHL为主,中国白血病仍占很大比例,反映了癌症流行病学转型的差异。
趋势:美国已进入平台期或下降期,而中国多数亚型发病率仍在上升,提示防控压力巨大,快速老龄化是血液恶性肿瘤负担增加的重要原因。
医疗信息化:美国在医疗信息化方面领先,中国仍存在"信息孤岛"和区域发展不平衡问题
风险因素防控:吸烟是关键的干预目标,特别是中国男性吸烟率极高(49.7% vs 美国19.9%),控烟刻不容缓。同时需关注肥胖问题和职业防护。
老龄化挑战:人口老龄化是推动未来负担增长的主要驱动力,需重点关注老年高危人群。
未来方向:加强医疗信息化、推广早期筛查、减少职业苯和甲醛暴露、加速创新药物研发和转化、借鉴美国等发达国家的成功经验(如控烟、规范诊疗)至关重要。
参考文献
Chin Med J (Engl) . 2026 Feb 11. doi: 10.1097/CM9.0000000000003969.
声明:本平台旨在为医疗卫生专业人士传递更多医学信息。本平台发布的内容,不能以任何方式取代专业的医疗指导,也不应被视为诊疗建议。如该等信息被用于了解医学信息以外的目的,本平台不承担相关责任。本平台对发布的内容,并不代表同意其描述和观点。若涉及版权问题,烦请权利人与我们联系,我们将尽快处理。

(本网站所有内容,凡注明来源为“医脉通”,版权均归医脉通所有,未经授权,任何媒体、网站或个人不得转载,否则将追究法律责任,授权转载时须注明“来源:医脉通”。本网注明来源为其他媒体的内容为转载,转载仅作观点分享,版权归原作者所有,如有侵犯版权,请及时联系我们。)