


2025 年12月3日-6日,欧洲头痛大会(EHC 2025)在里斯本盛大启幕。作为头痛领域的年度重磅盛会,本届大会以“化挑战为解决方案”为主题,聚焦头痛医学关键议题,搭建起前沿探索、临床实践与思想碰撞的国际平台。本届大会上,中国学者持续在国际舞台展现科研实力——首都医科大学附属北京天坛医院


王永刚 教授
首都医科大学附属北京天坛医院
主任医师、博士生导师
首都医科大学附属北京天坛医院头痛科主任
中华医学会神经病学分会头痛协作组组长
中国卒中学会头痛分会主任委员
北京神经内科学会头痛分会主任委员
研究领域:原发性头痛的临床与基础研究
负责课题:国家自然科学基金项目6项
Journal of Headache and Pain Associate Editor
药物过度使用性头痛:中国头痛登记研究(CHAIRS)结果报告
药物过度使用性头痛(Medication overuse headache, MOH),一种疼痛与情绪交织混合的疾病,其特征为每月头痛天数超过15天,且伴有规律性地使用急性止痛药物超过3个月。在全球范围内患病率较高,约为0.5%至7.2%。流行病学数据显示,在中国,MOH的患病率为0.6%,但仅0.8%的患者能够得到正确诊断与治疗。目前,MOH的发病机制尚不明确,一般认为与头痛慢性化与急性药物过度使用之间的恶性循环有关。尽管MOH在一定程度上是可以预防和避免的,但公众乃至医疗界对其认知仍显不足。因此,本研究旨在对中国MOH患者进行全面评估,提供疾病特征及其相关负担的最新数据。同时,MOH不仅仅是“头痛”,疾病进展可能与行为及心理因素密切相关。因此,本研究还借助机器学习方法,进一步,探讨 MOH 亚组患者的头痛特征与心理状态。
本研究为一项横断面、基于问卷的调查研究,纳入了中国头痛登记研究(CHAIRS)中的1155名门诊与住院患者(包括552例偏头痛患者、202例其他原发性头痛患者及401例MOH患者)。比较了MOH组与非MOH组在社会人口学特征及神经心理特征的差异。采用K均值聚类算法对MOH患者进行亚组分类,以探讨头痛相关特征与心理状态之间的关系。同时,本研究还分析了中国MOH患者急性用药模式,并收集报告了过度使用的特定药物成分。
MOH 患者更可能为女性(p<0.001)、受教育程度较低(p=0.002),且
MOH患者疾病疾病负担更严重,包括更重的功能障碍、更低的生活满意度、更突出的
心理亚组分析识别出两个聚类(n=105 和 n=169),其中在认知水平、睡眠质量、及抑郁和焦虑程度上更严重的一类患者(图 1),其疼痛程度也越高。
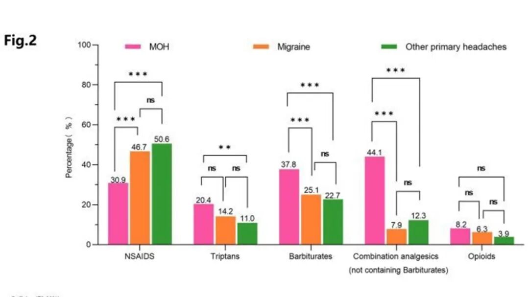
中国大多数MOH 患者仍依赖复方镇痛药(图 2),其中



<< 滑动查看下一张图片 >>
本研究更新了中国人群MOH患者流行病学及临床特征相关数据,基于机器学习的亚组分析结果表明神经心理学评估对优化个体化治疗具有重要意义。研究结果同时强调了,亟需提高临床对复方镇痛药(尤其是含咖啡因制剂)过度使用风险的认知。
慢性偏头痛样小鼠模型初级视觉皮层与畏光相关的新神经特征
众所周知,偏头痛发作会导致光敏性增强。神经影像学研究表明,偏头痛发作期和发作间期初级视觉皮层均呈现异常激活模式。越来越多的证据表明,皮层活动模式的改变可能是神经系统疾病病理生理基础。本研究旨在探讨慢性偏头痛进展过程中,是否以及如何影响初级视觉皮层单细胞分辨率下的皮层活动模式。
在多个时间点对慢性偏头痛样小鼠模型的初级视觉皮层进行纵向在体双光子钙成像检测。通过化学遗传学调控与药物干预相结合的方法,系统评估皮层回路活动模式及相关行为学表现,重点关注初级视觉皮层功能调节。
慢性偏头痛诱导后,初级视觉皮层内的皮层活动模式出现自发性过度激活,其中 Ⅱ/Ⅲ 层神经元被证实是该神经失调的主要贡献者,而非 Ⅴ 层神经元。值得注意的是,托吡酯预防性治疗可减轻痛觉超敏和畏光行为,同时逆转病理性皮层过度激活。然而,化学遗传学抑制初级视觉皮层 Ⅱ/Ⅲ 层神经元可改善畏光症状,但未减轻痛觉敏化,同时可使初级视觉皮层异常的自发性过度激活恢复正常。

本研究结果表明,在慢性偏头痛进展过程中,初级视觉皮层的自发性皮层神经特征存在动态改变,调控这些神经适应性变化可能具有缓解相关畏光症状的潜力。这一机制性发现为我们理解慢性偏头痛畏光的病理生理学机制提供了新的见解。
审核:王永刚教授团队
参考文献:
[1] G. Liu, X. Li, Z. Xia, Y. Wang. Medication overuse headache: Findings from the China Headache Disorders Registry Study (CHAIRS).EHC 2025.P213
[2] K. Zhang, C. Peng, S. Wu, Y. Wang. Neural signature of chronic migraine mice model and related photophobia in the primary visual cortex.EHC 2025.P125

(本网站所有内容,凡注明来源为“医脉通”,版权均归医脉通所有,未经授权,任何媒体、网站或个人不得转载,否则将追究法律责任,授权转载时须注明“来源:医脉通”。本网注明来源为其他媒体的内容为转载,转载仅作观点分享,版权归原作者所有,如有侵犯版权,请及时联系我们。)