
导读
2025年9月15 日,首都医科大学附属北京安贞医院曾勇教授团队在《Drug Design, Development and Therapy》(中科院一区,影响因子5.1)发表题为“Nicorandil Use and Health Status Outcomes in Patients with Angina Pectoris: A Prospective, Multicenter, Cohort Study (GREAT)”的原创注册研究。研究发现:对于

冠心病是中国居民的主要死因,心绞痛是其最常见表现,严重影响患者生活质量和预后。尼可地尔作为一种钾通道开放剂,已被广泛用于心绞痛治疗,但其对患者健康状态(如生活质量、身体功能)的长期影响尚不明确。
GREAT研究是一项多中心、前瞻性队列研究,纳入中国9家医院的1528例心绞痛患者,分为尼可地尔组和对照组。研究采用西雅图心绞痛问卷总结评分(SAQ-SS)作为主要结局指标,评估患者从基线至12个月的健康状态变化。通过倾向评分匹配(PSM)控制混杂因素,确保结果可靠性。
(1)尼可地尔组在12个月时西雅图心绞痛评分(SAQ-SS)改善显著优于对照组(改善值:17.6 vs. 15.1,P=0.003),差异具有临床意义(≥5分)。

图1 SAQ-SS健康评分从基线到12个月的Sankey流程图变化(PSM术后)。
注:评分标准分为四个等级:0-24分(极差)、25-49分(差)、50-74分(中)、75-100分(优)。
(2)尼可地尔组在“身体限制”(SAQ-PL)和“生活质量”(SAQ-QoL)两个子领域的改善也更为显著。
(3)尼可地尔组有更高比例的患者实现“较大改善”(≥20分:42.5% vs. 32.9%)和“极大改善”(≥30分:18.2% vs. 12.0%)。
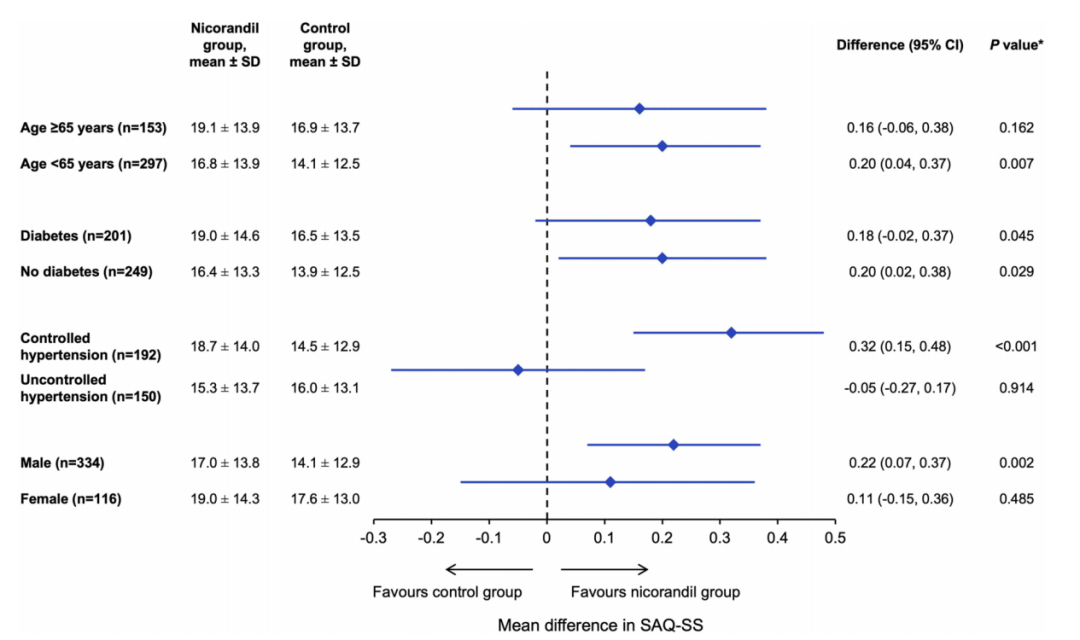
(4)亚组分析显示,年龄<65岁、非

图2 从基线至12个月的平均SAQ-SS变化亚组分析
本研究首次在真实世界背景下证实,尼可地尔能显著提升心绞痛患者的健康状态和生活质量,尤其在身体功能与生活质量方面表现突出。研究结果为尼可地尔在心绞痛个体化治疗中的应用提供了有力证据,支持其作为改善患者整体健康状况的有效选择。
未来研究可进一步探索尼可地尔在不同亚组(如血运重建后患者)中的疗效,并结合电子患者报告结局系统,实现心绞痛症状的实时监测与管理,推动精准医疗在
北京安贞医院冠心病中心为国内首批专注于冠心病系统化诊疗的专科中心,是国家心血管病临床医学研究中心核心单元、国家卫健委冠心病介入诊疗培训基地及中国

赵昔良 教授
临床医学博士,首都医科大学附属北京安贞医院冠心病中心三病区,副主任医师,副教授,硕士研究生导师
毕业于北京协和医学院临床医学专业,后就职于北京协和医院内科,先后担任内科住院医师及总住院医师,2018年8月调入北京安贞医院,在曾勇教授指导下,主要从事冠心病的介入治疗及腔内影像学的临床应用。
海峡两岸医药卫生交流协会心脏重症专委会委员,北京市心血管内科质量控制和改进中心第一届青年委员,《中国介入心脏病学杂志》青年编委
主持国家自然科学青年基金、首都医科大学科研培育基金、北京安贞医院科技发展基金等多项课题,作为执行研究者,负责中国心绞痛患者临床特征、治疗模式及疗效的真实世界研究(GREAT研究)、IVUS和OCT指导左主干末端分叉病变介入治疗的对比性研究(ISOLEDS研究)等多项多中心临床研究的具体实施,先后在JACC Cardiovasc Interv、Cardiovasc Diabetol、中华内科杂志等发表文章多篇,授权国家实用新型专利1项(第一完成人),申请发明专利3项。
曾勇 教授
来源:Zhao X, Cheng G, Sun L, Liu Y, Du X, Xu S, Wu L, Wei Y, Liu W, Miao L, Zhang Q, Ma C, Zeng Y. Nicorandil Use and Health Status Outcomes in Patients with Angina Pectoris: A Prospective, Multicenter, Cohort Study (GREAT). Drug Des Devel Ther. 2025 Sep 15;19:8295-8308. doi: 10.2147/DDDT.S506108. PMID: 40980423; PMCID: PMC12447962.

(本网站所有内容,凡注明来源为“医脉通”,版权均归医脉通所有,未经授权,任何媒体、网站或个人不得转载,否则将追究法律责任,授权转载时须注明“来源:医脉通”。本网注明来源为其他媒体的内容为转载,转载仅作观点分享,版权归原作者所有,如有侵犯版权,请及时联系我们。)