8月29日-9月1日,2025年欧洲

张楠医生现场汇报团队成果
张楠1, 赵锦华1, 李国良2, 党珮珠2, 谢家伟1, 刘彤1
1 天津医科大学第二医院心脏科;2 西安交通大学第一附属医院心内科
当前基于
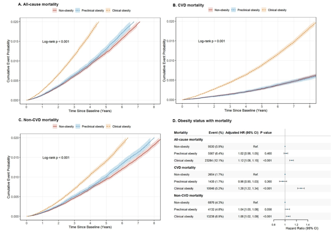
评估不同肥胖状态与全因死亡率、CVD死亡率、非CVD死亡率及心脏表型之间的关系。
本研究分析了英国生物银行(UK Biobank)中具有可用于肥胖状态分类数据的个体。根据柳叶刀定义,参与者被分为非肥胖、临床前肥胖和临床肥胖三类人群。研究的主要结局是全因死亡率、CVD死亡率和非CVD死亡率,并进一步评估了不同肥胖状态与心电图、心脏磁共振指标的关联。
研究共纳入439317名参与者,其中非肥胖者160430人,临床前肥胖者86815人,临床肥胖者192072人。中位随访14.7年间,共观察到38381例全因死亡、14135例CVD死亡和24246例非CVD死亡。与非肥胖者相比,临床前肥胖状态与全因死亡率、CVD死亡率及非CVD死亡率均无显著关系(图1)。与非肥胖者相比,临床肥胖显著增加了全因死亡率(HR 1.12, P<0.001)、CVD死亡率(HR 1.28, P<0.001)和非CVD死亡率(HR 1.06, P<0.001)的风险(图1)。与临床前肥胖相比,临床肥胖显著增加全因死亡(HR 1.12, P<0.001)、CVD死亡(HR 1.41, P<0.001)和非CVD死亡风险(HR 1.04, P=0.038)。与临床前肥胖相比,临床肥胖显著增高血浆NT-proBNP和TnI水平。此外,临床肥胖患者心电图的多个指标均显著改变,包括P波时限、PR间期、QRS时限和QTc间期延长,RR间期缩短、心室率增高以及P波电轴和R波电轴的显著改变(P < 0.05)(图2)。除心电特征改变外,临床肥胖状态与左室室壁增厚、左室质量增加、左室应变受损以及左心房容积增大和功能减低显著相关(图2)。

图1

图2
与临床前肥胖相比,临床肥胖状态显著增加CVD死亡风险,并与显著的心脏结构重构及电重构相关。
张楠1, 赵锦华1, 李国良2, 唐曼芸2, 谢家伟1, 刘彤1
1 天津医科大学第二医院心脏科;2 西安交通大学第一附属医院心内科
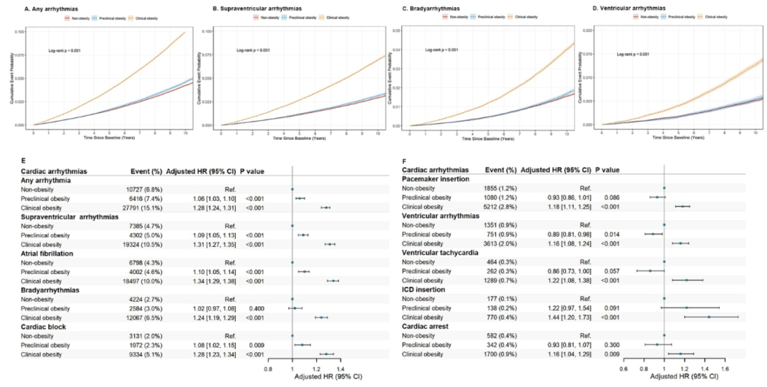
既往研究提示肥胖可增加多种心律失常的风险。当前临床工作中多使用BMI作为肥胖的诊断工具,但BMI无法提供身体脂肪分布及个体健康状态的信息。基于此,柳叶刀糖尿病与内分泌学委员会近期提出了一个新的肥胖分类标准。在此新的诊断标准下,不同的肥胖状态与各种心律失常风险的关系尚不明确。
比较不同肥胖状态个体发生心律失常的风险及其心电图特征。
本研究分析了英国生物银行(UK Biobank)中既往无心律失常病史的个体。根据柳叶刀的新定义,参与者被分为非肥胖、临床前肥胖和临床肥胖三组人群。研究的主要结局为新发的总心律失常事件、室上性心律失常(SVA)、缓慢性心律失常和室性心律失常(VA),此外,主要结局的各个组成部分被作为次要终点进行分析。
本研究共纳入428562名参与者,其中非肥胖者157787人,临床前肥胖者86400人,临床肥胖者184375人。中位随访14.6年期间,与非肥胖者相比,临床前肥胖个体的总体心律失常事件(HR 1.06, P<0.001)、SVA(HR 1.09, P<0.001)、

图3

图4
临床前肥胖和临床肥胖状态均会升高心律失常风险,其中临床肥胖的影响更重,并呈现出显著的致心律失常性电学改变。
专家简介

刘彤 教授
天津医科大学第二医院心脏科主任,天津心脏病学研究所所长医学博士/博士后(美国Cedars-Sinai医学中心),天津医科大学博士生导师
入选国家百千万人才工程,人社部有突出贡献中青年专家,天津市131创新型人才(第一层次),首批天津市津门医学英才
主要从事心脏起搏与射频消融、心房颤动的基础和临床研究,肿瘤心脏病学的基础与临床研究
现任中国医疗保健国际交流促进会心律与心电分会第三届委员会副主任委员,国家卫生健康委人才交流服务中心心律失常专家委员会副主任委员,中华医学会心脏起搏与电生理分会委员,中华医学会心血管病分会青年委员,国际心电学会(ISE)青年委员,欧洲心脏学会专家会员(FESC),中国抗癌协会整合心脏病学分会常务委员
Current Cardiology Reviews杂志(Pubmed收录)主编,中国心血管病研究杂志青年编委会主任委员,中华心律失常学杂志通讯编委
承担国家自然科学基金项目5项,京津冀基础合作专项1项,天津市科技局重点项目2项,获天津市科技进步奖3项
JACC、JAMA Inter Med、Redox Biology、Stroke、Circulation AE等SCI杂志发表第一作者及通讯作者文章100余篇,H指数33,总引用次数6342次,主编及主译专著5部,副主编副主译专著7部

张楠 医生
天津医科大学第二医院心血管内科博士研究生在读,在导师刘彤教授的指导下从事肿瘤心脏病学及心房颤动相关研究,在读期间曾多次获得研究生国家奖学金、天津市优秀研究生、及天津医科大学优秀研究生等荣誉
以第一作者身份在JAMA internal medicine、European Heart Journal、European Journal of Preventive Cardiology、Europace、Heart rhythm等杂志发表多篇SCI论文及心电病例
(本网站所有内容,凡注明来源为“医脉通”,版权均归医脉通所有,未经授权,任何媒体、网站或个人不得转载,否则将追究法律责任,授权转载时须注明“来源:医脉通”。本网注明来源为其他媒体的内容为转载,转载仅作观点分享,版权归原作者所有,如有侵犯版权,请及时联系我们。)