论文概要

2026年1月,中国丛集性头痛联盟(CCHA)在The Journal of Headache and Pain (影响因子 7.9 ,中科院一区)在线发表题为“Sex differences in cluster headache: insights from the Chinese Cluster Headache Register Individual Study (CHRIS)” 的研究。该研究基于中国丛集性头痛注册研究(CHRIS)的67家联盟单位,1206名确诊的丛集性头痛患者数据,聚焦于男女在丛集性头痛人口学特征、临床表型及诊疗现状等方面的异同,系统性地揭示了中国丛集性头痛群体的性别差异特征。
结果分析与阐述
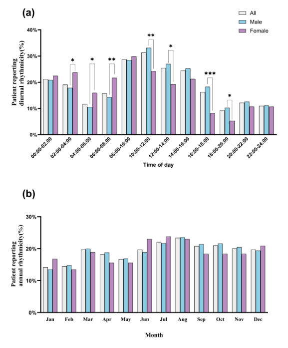
1.发作节律性方面:
研究发现,男女患者在头痛发作的日间分布上表现出显著不同的特征。具体而言,女性患者在凌晨时段(2:00-8:00)的发作频率显著较高;相比之下,男性患者的发作

2.心理共病情况:
在心理状态方面,研究分析表明,男女丛集性头痛患者在合并焦虑与抑郁的倾向及严重程度上呈现出显著差异。从抑郁情况来看,男性患者有962人,女性患者有244人,通过PHQ - 9评分可知男女整体评分差异显著(P < 0.001*),且在抑郁程度的分布上,男性和女性在无/轻微抑郁、轻度抑郁、中度抑郁等不同等级的占比均有所不同。在焦虑方面,依据GAD - 7评分,男女存在显著差异(P = 0.005*),在无/轻微焦虑、轻度焦虑等不同程度的焦虑倾向及严重程度分布上,男女亦有明显区别。这提示在临床诊治中,应针对不同性别的患者进行更有针对性的心理干预与筛查。

3.伴随症状方面:
两性在颅自主神经症状(CAS)亦呈现明显的性别差异。研究发现,女性患者更易出现眼睑

结论
本研究首次揭示了中国丛集性头痛群体在多个维度上的性别差异,涵盖了社会人口学特征、临床表型、心理负担以及发作的昼夜节律分布。这些发现为推动丛集性头痛的精准化、性别差异化临床管理提供了重要依据。
研究局限与展望
本研究存在一定局限性。我们所采用的临床数据主要通过电子问卷采集,可能存在一定程度的回忆偏差。未来,需要开展更大规模的多中心前瞻性研究及基础实验,以进一步验证这些发现。
来源:中国头痛防控联盟

(本网站所有内容,凡注明来源为“医脉通”,版权均归医脉通所有,未经授权,任何媒体、网站或个人不得转载,否则将追究法律责任,授权转载时须注明“来源:医脉通”。本网注明来源为其他媒体的内容为转载,转载仅作观点分享,版权归原作者所有,如有侵犯版权,请及时联系我们。)