他汀类药物的使用与
Statin use is associated with lower rates of stricture development in patients with Crohn’s disease: a propensity score-matched study of two nationwide population databases
Journal of Crohn's and Colitis
PMID: 41903936IF: 6.6 Q1 B2[IF=8.7]
来源:IBD Daily
克罗恩病 (CD) 是一种以肠道节段性炎症为特征的慢性免疫介导性胃肠道疾病。长期的肠道炎症会导致纤维化和肠壁增厚,超过50%的CD患者会经历由肠道狭窄引起的具有临床意义的
本研究为一项回顾性队列研究,利用美国EVERSANA电子健康记录数据库,比较了新确诊CD患者中他汀类药物暴露组与非他汀类药物暴露组的结局差异。研究结果随后在另一个大型数据库 (Merative MarketScan) 中进行了独立验证。研究的主要终点是新发狭窄的形成。这是一个复合终点:因狭窄诊断就诊,或发生了与狭窄相关的医疗操作 (如小肠切除术、狭窄成形术或内镜下肠道扩张术) 。为了消除混杂因素,研究采用了高维倾向性评分 (PS) 匹配的Cox比例风险模型来评估他汀类药物使用与狭窄发生之间的相关性。
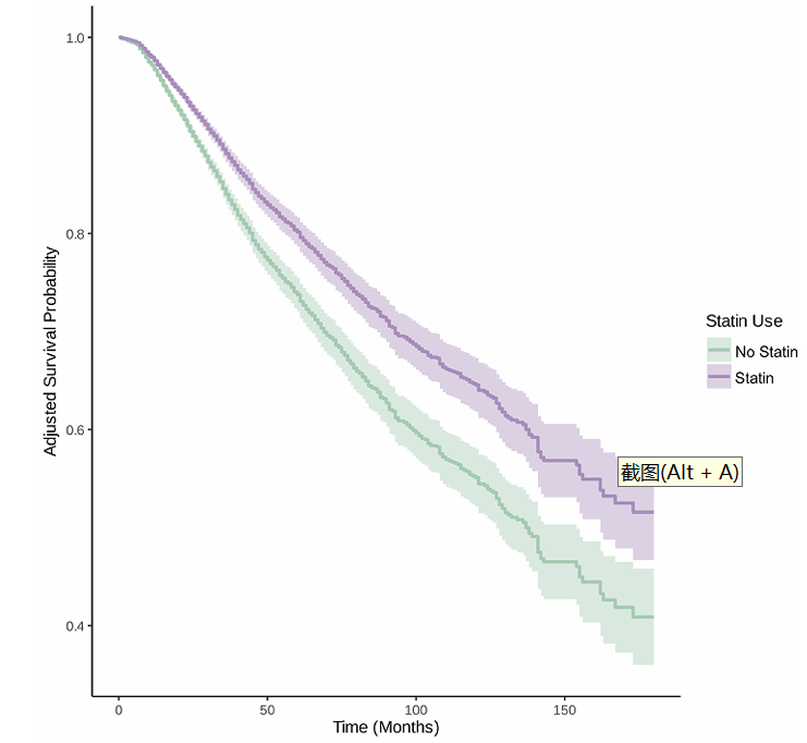
本研究在EVERSANA队列中纳入了1210例他汀类药物使用者和25000例对照者;在Merative队列中纳入了9577例他汀暴露患者和56918例对照者。PS匹配分析显示,在EVERSANA队列和Merative队列中,接受他汀类药物治疗的CD患者发生新发狭窄的风险分别显著降低了28%和29%。
➤他汀类药物与狭窄发生风险的关联
在EVERSANA队列中,多因素Cox回归分析证实,他汀类药物的使用是延缓新发狭窄进展的独立保护因素 (HR 0.72, 95% CI 0.53-0.99, P=0.043)。在Merative队列的深度分析中 (HR 0.71, 95% CI 0.66-0.77, P<0.001),他汀类药物组的新发狭窄确诊率显著低于未使用组 (11% vs 16%)。此外,数据提示女性患者独立关联于较低的狭窄发生风险 (HR 0.86, 95% CI 0.80-0.93, P<0.001),而入组时年龄较大的患者则具有较高的狭窄进展倾向。

图1:EVERSANA队列中使用他汀药物者与未使用者的主要结果生存情况
➤用药时间、强度与种类的影响
在用药时间维度,短期使用他汀 (6-12个月) 未能显著降低狭窄风险。然而,一旦连续用药达到12-24个月 (HR 0.84, 95% CI 0.72-0.97, P=0.018) 或超过24个月 (HR 0.67, 95% CI 0.61-0.73, P<0.001),均能观察到统计学上极其显著的风险降低。在药物强度和种类方面,不管是低、中、高强度的他汀类药物,还是亲水性与亲脂性他汀,均表现出了防范狭窄发生的统计学效益。
➤排除降脂效果 (LDL水平) 的潜在混杂
为了排除适应症混杂 (即他汀可能仅仅是因为改善了血脂而获益),研究针对低密度脂蛋白 (LDL) 水平进行了事后分析。结果显示,LDL的绝对数值与狭窄的形成无显著关联 (HR 1.00, 95% CI 0.98-1.00, P=0.810)。这一发现强烈提示,他汀类药物减少肠道狭窄并非由于其调脂作用,而是通过抑制组织纤维化等途径发挥了独立的多效性保护效应。
➤高级别 IBD 治疗药物的协同作用
多因素回归分析表明,无论患者是正在接受高级别IBD药物治疗 (如生物制剂或靶向小分子药物) (HR 0.73, 95% CI 0.63-0.84, P<0.001),还是仅接受传统基础治疗 (HR 0.72, 95% CI 0.65-0.79, P<0.001),使用他汀类药物均与更低的肠道狭窄风险独立相关。

图2:Merative队列中其他药物使用的协变量调整后他汀类药物对狭窄发展的影响
综上所述,在两个极具异质性的真实世界人口数据队列中,他汀类药物的使用被充分证明与CD患者新发肠道狭窄风险的下降独立相关。长期的、至少持续一年的他汀类用药能够有效减轻肠道纤维化相关事件的发生。由于目前临床上缺乏针对CD肠道纤维化的特异性药物,如果保护效果得到证实,他汀类药物的“老药新用”有望为CD 狭窄高危患者提供一种经济、可行且极具前景的二级预防策略。
(本网站所有内容,凡注明来源为“医脉通”,版权均归医脉通所有,未经授权,任何媒体、网站或个人不得转载,否则将追究法律责任,授权转载时须注明“来源:医脉通”。本网注明来源为其他媒体的内容为转载,转载仅作观点分享,版权归原作者所有,如有侵犯版权,请及时联系我们。)