手术组织病理学纤维化严重程度可预测
Severity of surgical histopathological fibrosis predicted postoperative recurrence in Crohn’s disease: a multi‑center retrospective cohort study
Journal of Gastroenterology
PMID: 41746330 [IF=5.5]
来源:IBD Daily
尽管治疗策略不断进步,仍有超过70%的克罗恩病 (CD) 患者在确诊后10年内因并发症需要接受手术治疗。然而,手术并非终点,术后复发依然是影响长期预后的核心挑战。既往研究已识别多项复发相关因素,包括吸烟、既往手术史、穿透型病变行为及肛周疾病等,但现有病理指标 (如肉芽肿、活动性炎症及丛周炎) 的预测价值尚存争议,整体预测效能亦较为有限。因此,临床实践中亟需更为可靠的病理学指标,以优化术后风险分层与个体化管理策略。肠道纤维化是CD慢性炎症进程中的关键病理特征之一,在疾病进展及结构性损伤中发挥重要作用。然而,纤维化严重程度与术后复发风险之间的关联尚未得到系统而深入的评估。
针对这一临床空白,由上海交通大学医学院附属瑞金医院消化内科邹多武、何子锐,南京大学医学院附属金陵医院普通外科李毅,
➤研究设计和研究对象
该研究为一项多中心、回顾性观察性研究,纳入2010年1月至2023年12月期间在三家医疗中心 (上海交通大学医学院附属瑞金医院、南京大学医学院附属金陵医院及中山大学附属第一医院) 接受肠切除手术的CD患者。
➤研究的结局和指标
对病变部位及切除边缘的石蜡包埋组织切片进行Masson三色染色,并通过定量分析胶原纤维面积占比以评估肠壁纤维化程度。内镜复发定义为吻合口复发 (改良 Rutgeerts score≥i2b) 或非吻合口复发 (SES-CD score≥3)。对于回肠-回肠吻合患者,参照改良Rutgeerts score的原则通过小
➤纳入人群基线情况
最终纳入分析的研究队列包括268例接受肠切除手术的CD患者。患者平均年龄为36.9岁,中位病程为70.2个月。男性占64.2%。病变部位以回肠受累为主,其中57.5%为末端回肠型,42.5%为回结肠型。63.4%的患者无既往肠道手术史。在随访期间,共有84例患者发生内镜复发 (31.3%),91例发生临床复发 (34.0%)。
➤纤维化与复发风险的关联
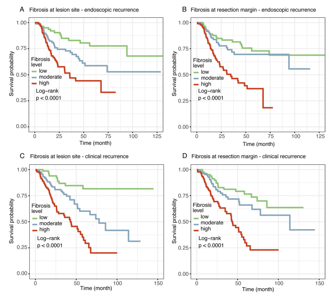
研究者将肠道纤维化程度以连续变量形式进行量化,并根据三分位数分为低、中、高三组。病变部位及切缘的透壁纤维化严重程度均与术后内镜复发和临床复发风险呈显著正相关 (p值均<0.0001)。

图1 CD术后复发风险与透壁纤维化程度的关系
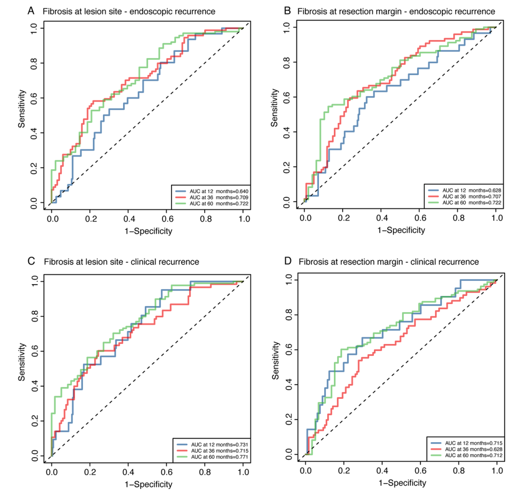
以连续变量分析时,病变部位纤维化每增加1个标准差 (SD),内镜复发风险增加至1.46倍,临床复发风险增加至1.95倍。与低纤维化组相比,高纤维化组的内镜复发和临床复发风险分别增加至3.02倍和5.91倍。对于切缘部位,纤维化每增加1个SD,内镜复发和临床复发风险分别增加至1.35倍和1.29倍;与低纤维化组相比,切缘高纤维化组的复发风险分别增加至2.88倍和2.85倍。限制性立方样条分析证实纤维化严重程度与复发风险之间存在单调的剂量-反应关系。病变部位和切缘部位的透壁纤维化对术后内镜复发具有良好的预测价值 (AUC均为0.722)。对临床复发的预测价值,病变部位纤维化AUC为0.771,切缘部位纤维化AUC为0.712。

图2 纤维化程度预测术后复发风险的AUC值
为了确保研究结果的广泛适用性,研究人员根据患者的年龄、性别和疾病表现型 (如穿透性疾病B3) 进行了亚组分析。结果显示,在这些不同的亚组中,纤维化程度与复发风险之间的正相关关系保持一致。进一步分层分析发现,无论近端或远端切缘的透壁纤维化,均与术后内镜及临床复发风险显著增加相关。在调整年龄、病变部位、吸烟史、回结肠切除术、既往手术史、肉芽肿及神经丛炎等潜在混杂因素后,透壁纤维化仍被证实为术后内镜复发和临床复发的独立预测因素。
该研究结果表明,无论病变部位还是切缘部位的肠道透壁纤维化严重程度,均可独立预测CD术后内镜复发及临床复发风险的增加。组织病理学层面的纤维化定量评估有助于识别术后复发高风险人群,从而为个体化术后管理策略的制定提供潜在依据。
当前,肠道纤维化研究在临床与基础领域均面临显著挑战。在临床层面,纤维化诊断与分级标准尚未统一,且缺乏经验证的抗纤维化治疗策略,成为改善患者长期预后的关键瓶颈。在基础研究层面,肠道纤维化的发病机制尚未完全阐明,尤其是慢性炎症向不可逆结构性重塑转化的分子通路及免疫–间质互作机制仍存在重要认知空白。
在此背景下,瑞金医院牵头建立的克罗恩病手术队列依托系统保存的手术病理标本,旨在系统刻画肠壁各层纤维化的整体特征,解析慢性炎症、组织重塑与纤维化形成在疾病进展中的动态关系,并从免疫–间质互作视角深入探讨其潜在机制。该队列向各中心开放合作。未来研究将通过扩大多中心样本规模、延长随访时间、标准化组织处理流程与内镜评分体系、纳入更全面的浆膜层评估,并结合机器学习及人工智能驱动的组织病理分析技术,以进一步阐明纤维化机制并优化术后复发预测模型。
(本网站所有内容,凡注明来源为“医脉通”,版权均归医脉通所有,未经授权,任何媒体、网站或个人不得转载,否则将追究法律责任,授权转载时须注明“来源:医脉通”。本网注明来源为其他媒体的内容为转载,转载仅作观点分享,版权归原作者所有,如有侵犯版权,请及时联系我们。)