尽管当下处于生物制剂改善病情抗风湿药(biological Disease-Modifying Anti-Rheumatic Drugs,bDMARDs)和靶向合成改善病情抗风湿药(targeted synthetic Disease-Modifying Anti-Rheumatic Drugs,tsDMARDs)的治疗时代,但作为传统合成改善病情抗风湿药(csDMARDs)——
在这一背景下,意大利学者开展了一项回顾性队列研究,用于评估甲氨蝶呤作为一线治疗药物在慢性炎症性关节炎(RA、PsA、UA)中的长期药物留存率,并探索影响其持续使用的临床因素。
研究设计
研究人员回顾性分析了2014年1月至2022年1月在意大利某大学医学与健康科学系风湿病诊所就诊的慢性炎症性关节炎患者的临床记录。
纳入标准为至少符合以下一项:
①根据2010年欧洲抗风湿病联盟(EULAR)标准临床诊断为RA;
②根据CASPAR标准临床诊断为PsA;
③临床诊断为UA,即患有炎症性关节疾病但不符合特定诊断标准的患者。
排除标准包括年龄<18岁、甲氨蝶呤与其他类改善病情抗风湿药联合起始治疗以及临床数据不完整者。
研究过程中,患者每3-6个月接受定期检查,收集其诊断、性别、年龄、吸烟习惯、
研究结果
纳入患者基线情况
研究共纳入242例患者,其中RA患者130例(53.7%),PsA患者82例(33%),UA患者30例(16.3%)。患者的临床特征存在差异,如PsA患者男性比例较高、BMI中位数较大,肥胖比例也更高(PsA患者中为20.2%,RA患者中为12.9%,UA患者中为7.1%)。所有患者均将甲氨蝶呤作为初始治疗的首选药物(95%的患者使用皮下注射方式,5%的患者使用口服方式)。甲氨蝶呤的起始剂量中位数为每周15mg,三组之间药物剂量无统计学显著差异。另外,所有患者均患有活动性外周关节炎(表1)。
表1 入组患者临床特征

甲氨蝶呤在24个月、48个月和96个月的药物留存率分别约为60%、40%和20%(图1),在随访期间,242例接受甲氨蝶呤治疗的患者中,52例因不耐受或不良事件(主要是肝转氨酶升高或胃肠道不耐受)而停药,其余194例患者因疗效不佳转而接受b/tsDMARDs单药治疗或因疾病缓解而停用甲氨蝶呤。

图1 甲氨蝶呤在96个月期间的总体药物留存率
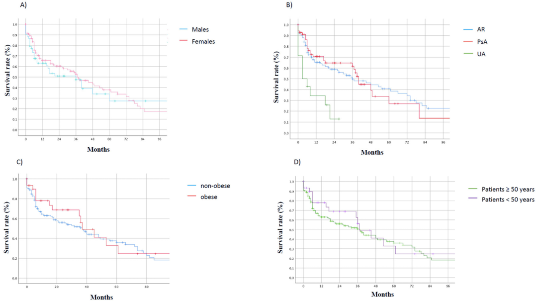
RA和PsA患者中,甲氨蝶呤的药物留存率显著高于UA患者(P=0.001)。其中RA患者中甲氨蝶呤在12个月时的药物留存率为65%,PsA患者在12个月、36个月时甲氨蝶呤的药物留存率分别为70%、64%,UA患者在12个月时的药物留存率不到40%。RA和PsA患者与UA患者相比,差异具有统计学意义(P=0.001)。另外性别、肥胖与否、年龄对甲氨蝶呤留存率无显著影响(图2)。

图2(A)甲氨蝶呤在男性和女性中的药物留存率(B)甲氨蝶呤在RA、PsA和UA患者中的药物留存率(C)甲氨蝶呤在肥胖和非肥胖患者中的药物留存率(D)甲氨蝶呤在年龄≥50岁和<50岁的患者中的药物留存率
在Cox回归分析中,未发现有与甲氨蝶呤停药相关的预测因素(表2)。
表2:甲氨蝶呤留存率预测因素的Cox回归分析

研究讨论和结论
该研究证实了甲氨蝶呤在RA和PsA治疗中的有效性和安全性,长期治疗仍有较好的药物留存率。治疗4年和8年时,分别约40%和20%的患者仍在使用甲氨蝶呤,表明甲氨蝶呤在炎症性关节疾病治疗中依然具有重要地位。不过,研究也存在局限性,如回顾性研究设计可能引入偏倚、部分数据不完整等。未来研究可进一步探讨甲氨蝶呤与新型生物制剂联合治疗在不同环境中的作用。
医脉通是专业的在线医生平台,“感知世界医学

(本网站所有内容,凡注明来源为“医脉通”,版权均归医脉通所有,未经授权,任何媒体、网站或个人不得转载,否则将追究法律责任,授权转载时须注明“来源:医脉通”。本网注明来源为其他媒体的内容为转载,转载仅作观点分享,版权归原作者所有,如有侵犯版权,请及时联系我们。)