导读
本研究为回顾性单中心研究,纳入2016年12月至2022年9月期间在河南省人民医院就诊的174例确诊SLE患者。所有患者均符合1997年美国风湿病学会(ACR)分类标准。排除已接受
收集患者首次确诊时的人口学资料、临床特征及实验室指标,包括血脂四项:总胆固醇(TC)、甘油三酯(TG)、高密度脂蛋白胆固醇(HDL-C)和低密度脂蛋白胆固醇(LDL-C),以及炎症指标、肾功能参数等。
在174例SLE患者中,血脂异常发生率为92.53%(161/174)。其中最常见的是HDL-C降低(125/174,77.64%)和TG升高(86/174,53.42%),TC和LDL-C升高分别占29.81%和28.57%。多数患者表现为复合型血脂异常,以“低HDL-C伴高TG”最为常见。

图1:SLE患者血脂异常的分布
相关性分析显示:TC与SLE疾病活动度(SLEDAI-2K)、补体C4、白细胞计数(WBC)、中性粒细胞计数(NEU)、单核细胞计数(MON)、血
表1:SLE患者临床实验室特征与血脂水平的相关性分析。

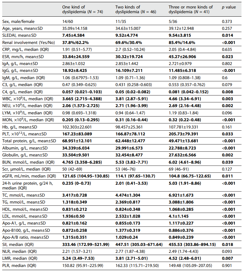
根据血脂异常种类将患者分为三组:一种异常(74例)、两种异常(46例)、三种及以上异常(41例)。随着血脂异常种类增加,肾脏受累比例显著升高(p<0.001),且炎症指标(WBC、MON、SII)逐渐上升,肾功能指标(BUN、血肌酐、eGFR、24小时尿蛋白)恶化,IgG、总蛋白、白蛋白水平下降。
表2:三个亚组SLE患者的临床特征比较

ROC曲线分析显示:TC预测LN的曲线下面积(Area Under the Curve, AUC)为0.759,灵敏度69.6%,特异度76.4%;TG的AUC为0.713,灵敏度81.4%,特异度56.9%;LDL-C的AUC为0.729,灵敏度63.7%,特异度73.6%。联合检测TC、TG、HDL-C、LDL-C的AUC为0.771,预测效能优于任一单项指标(图2)。

图2:运用ROC曲线剖析血脂谱诊断LN
参考文献:Li L, Li LL, Dong Y, Cao HX, Yan L. A Study on the Correlation between Serum Lipid Levels and Disease Activity in Patients with Systemic Lupus Erythematosus. Kidney Blood Press Res. 2025;50(1):669-677.
医脉通是专业的在线医生平台,“感知世界医学脉搏,助力中国临床决策”是平台的使命。医脉通旗下拥有「临床指南」「用药参考」「医学文献王」「医知源」「e研通」「e脉播」等系列产品,全面满足医学工作者临床决策、获取新知及提升科研效率等方面的需求。

(本网站所有内容,凡注明来源为“医脉通”,版权均归医脉通所有,未经授权,任何媒体、网站或个人不得转载,否则将追究法律责任,授权转载时须注明“来源:医脉通”。本网注明来源为其他媒体的内容为转载,转载仅作观点分享,版权归原作者所有,如有侵犯版权,请及时联系我们。)