长期以来,射血分数轻度降低或保留性
HFmrEF/HFpEF发病机制复杂,早期综合干预尤为重要。若在疾病早期即联合使用这两类已证实明确获益的药物,能否进一步实现“1+1>2”的终身获益?2025年欧洲
马长生 教授
继EMPEROR-Preserved研究1和DELIVER研究2发布之后,FINEARTS-HF研究3的阳性结果为HFmrEF/HFpEF患者带来了一类全新药物——高选择性nsMRA非奈利酮,结果显示,非奈利酮可将心血管死亡和总心衰事件的复合终点风险降低16%(HR=0.84,95% CI: 0.74-0.95)。
非奈利酮作为新一代高选择性nsMRA,通过全面且精准地阻断盐皮质激素受体(MR)的过度激活,发挥直接的抗炎和抗纤维化作用,遏制心衰进展中对心、肾靶器官的损害。FINEARTS-HF研究3结果明确了非奈利酮作为首个能确切改善左心室射血分数(LVEF)≥40%心衰患者临床结局的MRA,为HFmrEF/HFpEF的治疗奠定了坚实基础。并且,FINEARTS-HF研究多项亚组分析显示:非奈利酮在LVEF≥40%心衰患者中的效果不受基线LVEF、N末端B型利钠肽原(NT-proBNP)、肾功能、血糖状态、房颤病史、是否使用SGLT2i等不同基线特征的影响,在不同亚组患者中的获益均保持一致。
心衰作为进展性疾病,需采取早期、综合、持续的管理策略。既往亚组分析提示,SGLT2i可使65岁患者无事件生存期平均延长2.3年4;近期研究结果显示,非奈利酮单药治疗可使55岁年龄组患者的无事件生存期延长3.1年;65岁年龄组患者平均延长2.0年5;在FINEARTS-HF研究的长期获益评估中,非奈利酮联合SGLT2i治疗的疗效也初见端倪(非奈利酮联合SGLT2i治疗可使65岁年龄组患者无事件生存期延长3.1年)5。那么,若将非奈利酮与SGLT2i两个具有明确获益的药物联合使用,是否能进一步提升患者终身获益?2025年ESC发布的研究正回应了这一关键问题。
2025年ESC发布的研究,正是在非奈利酮和SGLT2i各自确立疗效的基础上,向前迈出了关键一步。该研究整合DELIVER2、FINEARTS-HF3、PARAGON-HF7等关键临床试验数据,采用精算分析法,模拟患者从65岁起接受治疗后的长期生存曲线,旨在评估在≥65岁HFmrEF/HFpEF患者中,早期启用非奈利酮单药,以及非奈利酮+SGLT2i联合治疗,对患者无事件生存期和长期获益的影响。
结果显示:
非奈利酮、SGLT2i单药治疗效果显著:非奈利酮单药治疗可将患者心血管原因死亡和总心衰事件组成的复合终点相对风险显著降低16%(HR=0.84;95% CI:0.76-0.94);SGLT2i单药治疗则显著降低18%(HR=0.82;95% CI:0.73-0.92);
非奈利酮+SGLT2i,双药联合,效益倍增:非奈利酮与SGLT2i联合使用,复合终点风险进一步降低至31%(HR=0.69;95% CI:0.59-0.81,图1)。

除了降低心血管原因死亡和总心衰事件的复合终点相对风险,研究还将统计结果转化为更易理解的“无事件生存期延长”数据:
nsMRA+SGLT2i联合治疗平均延长3.6年(2.0~5.2年,图2);

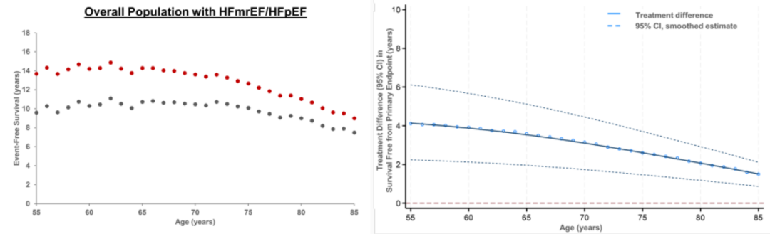
此外,研究显示nsMRA+SGLT2i联合治疗可为广泛年龄范围的HFmrEF/HFpEF患者带来显著生存获益(图3)。而“年龄越小,获益越大” 则是该研究的另一重要发现,数据显示,55岁年龄组患者治疗后预计可延长无事件生存期4.1年;85岁高龄患者治疗后仍可获得1.5年无事件生存期延长(图3)。这一发现有力印证了早期干预的重要临床价值。
图3 联合治疗在广泛年龄范围内的获益
该研究结果还显示,对于LVEF<60%的患者群体,nsMRA+SGLT2i+血管紧张素受体脑啡肽酶抑制剂(ARNI,尚未在中国获批用于HFmrEF/HFpEF)可带来39%的相对风险降低(HR=0.61;95% CI:48-77)。
马长生教授指出,该研究的价值体现在三大层面:
方法学创新:该研究首次创新性引入精算方法来估算心衰治疗的终生获益。为制定HFmrEF/HFpEF患者的个体化治疗策略提供了依据,凸显早期启用非奈利酮及联合治疗的重要性。
高级别证据支持:研究整合多项高质量随机对照研究数据,结果稳健可靠,为HFmrEF/HFpEF治疗的临床实践提供了强有力的循证医学证据。
临床实践意义深远:研究表明,早期启用非奈利酮单药治疗即能带来显著获益,联合SGLT2i可进一步放大疗效。支持对符合条件的患者尽早启动非奈利酮为基础的治疗方案。针对部分LVEF较低且耐受良好的患者,可考虑加用ARNI(该药在中国尚未获批用于HFpEF)。同时注意,年龄不应成为联合治疗的障碍。
该研究填补了HFmrEF/HFpEF长期获益证据的空白,确立了非奈利酮在治疗路径中的基础地位,并为两药联合的治疗策略提供了数据支持,助力心衰管理向“终生获益”新阶段迈进。
参考文献
1. Anker SD, et al. N Engl J Med. 2021 Oct 14;385(16):1451-1461.
2. Peikert A, et al. Circ Heart Fail. 2022 Oct;15(10):e010080.
3. Solomon SD, et al. N Engl J Med. 2024 Oct 24;391(16):1475-1485.
4. Vaduganathan M, et al. J Am Coll Cardiol. 2022 Nov 8;80(19):1775-1784.
5. Vaduganathan M, et al. JAMA Cardiol, 2025 Feb 1;10(2):176-181.
6. ESC 2025-Estimated Lifetime Benefits of Comprehensive Medical Therapy in Heart Failure with Mildly Reduced or Preserved Ejection Fraction.
7. Dewan P, et al. 2024 Jul 23;150(4):272-282.

(本网站所有内容,凡注明来源为“医脉通”,版权均归医脉通所有,未经授权,任何媒体、网站或个人不得转载,否则将追究法律责任,授权转载时须注明“来源:医脉通”。本网注明来源为其他媒体的内容为转载,转载仅作观点分享,版权归原作者所有,如有侵犯版权,请及时联系我们。)