当地时间11月7-10日,2025年美国心脏协会科学会议(2025 AHA)在新奥尔良盛大召开。作为全球心血管领域极具影响力的学术盛会,本届大会再次彰显了中国科研力量的崛起之势。
会议期间,首都医科大学附属北京安贞医院

丁耀东医生在AHA现场报告
梗阻性冠状动脉疾病可导致
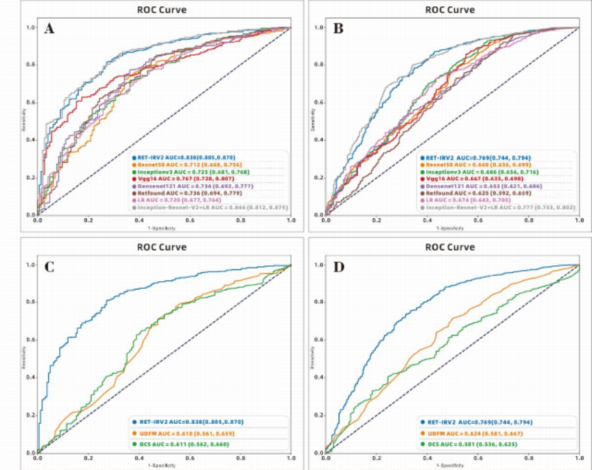
本研究开发并验证了六种不同的多任务深度学习模型,通过患者眼底照片检测梗阻性冠状动脉疾病,并与逻辑回归和指南推荐的传统模型进行比较。采用受试者工作特征曲线下面积评估模型在内部测试集和独立外部测试集中的性能。表现最佳的深度学习模型(Inception-Resnet-V2)在内部测试组中曲线下面积达到0.838(95%CI 0.799-0.870),在外部测试组中为0.769(95%CI 0.737-0.793)。净重分类指数显示该模型预测准确性优于传统模型(更新版Diamond-Forrester法=0.313,杜克临床评分=0.397,逻辑回归=0.220;所有P值<0.001)。可解释性实验表明该模型可能与视网膜血管特征相关,且诊断效能不受传统风险因素影响。


本研究证实基于无创眼底照片的深度学习模型在预测梗阻性冠状动脉疾病方面优于传统模型,有助于临床医生优化患者治疗方案。
曾勇教授
这项研究开创性地利用深度学习分析眼底照片,实现了对梗阻性冠状动脉疾病的无创筛查,展现出显著的临床转化潜力。其创新之处在于将冠心病诊断这一难题,通过视网膜这一微血管窗口巧妙化解。研究设计严谨,通过多中心验证证实模型具有良好的判别效能(内部AUC 0.838,外部AUC 0.769),且显著优于传统临床评分模型。特别值得肯定的是,研究者通过可解释性分析揭示了模型决策与视网膜血管特征的关联,为其提供了生物学合理性支撑。这项工作为
丁耀东 医生
曾勇 教授

(本网站所有内容,凡注明来源为“医脉通”,版权均归医脉通所有,未经授权,任何媒体、网站或个人不得转载,否则将追究法律责任,授权转载时须注明“来源:医脉通”。本网注明来源为其他媒体的内容为转载,转载仅作观点分享,版权归原作者所有,如有侵犯版权,请及时联系我们。)