ERS·新风 | 维生素K水平与COPD患病、严重程度、死亡风险的关系
2025-10-14

图片

采新风华彩,揽世界新潮”

2025年9月27日至10月1日,欧洲呼吸学会年会(ERS 2025)在荷兰阿姆斯特丹盛大召开,作为全球呼吸领域规模最大、影响力最深远的学术盛会之一,本届大会汇聚了来自世界各地的专家学者,共同探讨呼吸疾病的前沿进展

慢性阻塞性肺疾病(COPD)作为全球范围内严重威胁人类健康的慢性呼吸系统疾病,其发病机制复杂,涉及炎症、氧化应激等多个环节,且相关危险因素众多。维生素K作为一种重要的辅助因子,参与多种蛋白质的生物活性调节,对机体生理功能有着关键影响。然而,维生素K水平与COPD之间的关联尚缺乏充分研究。本次研究聚焦于维生素K水平偏低与COPD风险的关系,期望能为COPD的病因探索及防治提供新的思路与依据。






维生素K水平偏低与慢性阻塞性肺疾病的风险关联


图片
图片



研究背景


维生素K是基质Gla蛋白(MGP)等蛋白质发挥生物活性所必需的辅助因子,这些蛋白质能减少钙化并有助于维持肺功能。本研究首先旨在确定维生素K水平偏低是否与慢性阻塞性肺疾病(COPD)相关,其次探究维生素K水平是否与COPD严重程度、吸烟暴露或死亡率有关。


研究方法


研究采用去磷酸化非羧化(dp-uc)MGP的血浆浓度作为维生素K的反向生物标志物,纳入来自CODEX-P COPD研究的98例COPD患者以及来自DanFunD研究的986例对照者。维生素K水平偏低被定义为dp-ucMGP(去磷酸化非羧化基质Gla蛋白)处于上四分位数(>589pmol/L)。通过逻辑回归模型,研究分析了维生素K水平偏低与偏高/适中情况相比,是否会增加患COPD的优势比(OR)。在仅COPD队列中,还进行了次要分析,利用Welch t检验和log-rank检验,分别探究维生素K水平偏低与COPD严重程度、吸烟暴露(以包年计)以及全因死亡率之间的关联。


研究结果


维生素K水平偏低与患COPD的几率增加相关,优势比(OR)为9.7(95%置信区间[5.5-17.5],p<0.001)。


图片

图2 不同维生素K水平慢性阻塞性肺病风险与年龄的关系


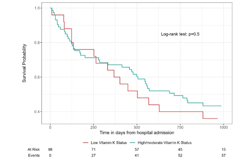
研究未发现维生素K水平偏低与COPD严重程度(p=0.7;95%置信区间[-0.2- 0.1])、吸烟暴露(p=0.7)或全因死亡率(p=0.5)存在关联。



图片

图 COPD患者维生素K水平与死亡风险之间的关系


研究结论


与维生素K水平偏高/适中的情况相比,维生素K水平偏低与患COPD的几率显著更高相关。但未发现维生素K水平偏低与COPD严重程度、吸烟暴露或全因死亡率存在关联。还需要进一步的研究来确定维生素K是否在COPD的病理生理学中发挥作用,以及是否需要进行补充治疗。







参考文献

1.Pradeesh Sivapalan, et al. Low Vitamin K Status and Risk of Chronic Obstructive Pulmonary Disease. A post-hoc analysis of two observational studies | Data from the CODEX-P and DanFunD study. ERS 2025



图片


本平台旨在为医疗卫生专业人士传递更多医学信息。本平台发布的内容,不能以任何方式取代专业的医疗指导,也不应被视为诊疗建议。如该等信息被用于了解医学信息以外的目的,本平台不承担相关责任。本平台对发布的内容,并不代表同意其描述和观点。若涉及版权问题,烦请权利人与我们联系,我们将尽快处理。

图片



(本网站所有内容,凡注明来源为“医脉通”,版权均归医脉通所有,未经授权,任何媒体、网站或个人不得转载,否则将追究法律责任,授权转载时须注明“来源:医脉通”。本网注明来源为其他媒体的内容为转载,转载仅作观点分享,版权归原作者所有,如有侵犯版权,请及时联系我们。)

1
收藏 分享