导读
嵌合抗原受体T细胞(CAR-T)疗法是免疫治疗领域的一项重大突破,最初在肿瘤治疗中展现出卓越疗效。该疗法通过对患者T细胞进行基因改造,使其表达能够特异性识别并清除靶抗原的嵌合抗原受体,从而实现精准免疫攻击。
近年来,CAR-T疗法的应用范围已逐渐扩展至自身免疫性疾病领域,尤其在难治性风湿性疾病中显示出治疗潜力。其中,靶向CD19的CAR-T细胞疗法能够诱导深度且持久的B细胞耗竭,不仅在外周血,还包括组织内的B细胞,进而可能实现“免疫重置”——即初始B细胞重建、自身反应性克隆减少、细胞因子谱正常化。
一项系统性综述(纳入24项研究,共80例患者)显示,CAR-T细胞疗法在多种自身免疫性疾病中均表现出良好的疗效与安全性:
1.疾病分布:80例患者中,52例为SLE,16例为
2.治疗效果:无论患者此前是否接受过B细胞耗竭治疗,CAR-T疗法均能实现有效的B细胞清除、血清学转换(如自身抗体转阴或滴度下降)及疾病活动度改善,并在6个月时观察到持续缓解;
3.安全性:治疗总体耐受性良好,大多数不良事件为轻度。
CAR-T疗法被认为可实现深层次的B细胞清除,甚至延伸至组织内部,但其耗竭持续时间存在较大个体差异(约30至180天),其B细胞耗竭的持续时间短于标准的抗CD20单抗方案(尤其是
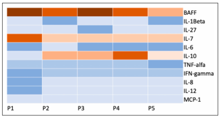
研究显示,CAR-T治疗后患者细胞因子谱趋于正常化(图1),这与“免疫重置”的假设相符。类似现象也在接受强化B细胞耗竭方案(如抗CD38单抗

图1:治疗前和治疗后3个月细胞因子浓度的变化
虽然CAR-T疗法被寄予实现“无药缓解”的期望,但现有证据表明该目标并非总能达成。值得注意的是,采用利妥昔单抗(4+2方案)联合环磷酰胺和
目前缺乏统一标准界定哪些患者最适合接受CAR-T治疗。“难治性”定义因疾病而异,在SLE(尤其狼疮肾炎)中,欧洲抗风湿病联盟指南将其定义为治疗3–4个月无改善、6–12个月未达到部分缓解,或2年未达完全缓解。
关键问题:是否应将对生物制剂甚至联合治疗方案无效也纳入“难治性”范畴?这直接影响CAR-T疗法的风险效益评估。
此外,为避免无效治疗延误时机导致不可逆的器官损伤(如肾脏),及时识别真正难治的患者并转换治疗策略至关重要。
除感染与细胞因子释放综合征外,神经毒性(现归类为免疫效应细胞相关神经毒性综合征,ICANS)仍是重要关注点;
血液系统恶性肿瘤(特别是
CAR-T疗法成本高昂,而在当前已有多种强效药物(如新型抗CD20单抗、双特异性抗体等)可选择的情况下,其常规应用仍需更多证据支持;
双特异性T细胞激活剂(BiTEs)等新兴疗法正在研发中,可能提供更简便、可重复给药的治疗选择。
结论
CAR-T细胞疗法为严重、难治性自身免疫性疾病(尤其是SLE)提供了新的治疗希望,其在诱导深度B细胞清除及免疫重置方面具有独特潜力。现有临床数据支持其短期疗效与可接受的安全性。
然而,该疗法仍面临诸多挑战:最佳适用人群的筛选、长期疗效的持久性、安全性风险(尤其是神经毒性),以及高昂的治疗成本等。未来需通过更多高质量临床研究,明确CAR-T在自身免疫病治疗体系中的定位,并探索其与现有疗法(如强化B细胞耗竭方案、新型生物制剂等)的比较效益,避免重蹈自体骨髓移植在自身免疫病治疗中的覆辙。
参考文献:Roccatello D. Hopes and concerns of CAR-T cell regimens in systemic lupus erythematosus and other immune mediated diseases. Lupus. 2025 Nov;34(13):1421-1423. doi: 10.1177/09612033251379322. Epub 2025 Sep 12. PMID: 40937845.
医脉通是专业的在线医生平台,“感知世界医学脉搏,助力中国临床决策”是平台的使命。医脉通旗下拥有「临床指南」「用药参考」「医学文献王」「医知源」「e研通」「e脉播」等系列产品,全面满足医学工作者临床决策、获取新知及提升科研效率等方面的需求。

(本网站所有内容,凡注明来源为“医脉通”,版权均归医脉通所有,未经授权,任何媒体、网站或个人不得转载,否则将追究法律责任,授权转载时须注明“来源:医脉通”。本网注明来源为其他媒体的内容为转载,转载仅作观点分享,版权归原作者所有,如有侵犯版权,请及时联系我们。)