中国SLE患者合并症新数据!CSTAR队列揭秘:这3类合并症风险高
2025-10-09


导读

系统性红斑狼疮(SLE)是一种慢性自身免疫性疾病,因多器官受累而表现出异质性临床表现。由于慢性炎症、器官损伤、抗炎治疗和心理社会影响,SLE患者常出现合并症。越来越多的证据表明,SLE患者总体上比普通人群有更高的心血管疾病(CVD)、脆性骨折和恶性肿瘤风险。然而,关于中国SLE患者合并症的数据有限。此外,虽然高血压血脂异常、高龄、吸烟和肥胖等传统风险因素增加CVD风险,但与CVD、脆性骨折和恶性肿瘤发生相关的SLE特异性和治疗相关因素仍不清楚。


这项全国性横断面研究评估了中国SLE患者这三种重要合并症的患病率和相关风险因素,旨在提供有关中国SLE患者临床特征、长期管理和预后结局的真实世界数据。



图片

研究设计

图片

Study design

这项回顾性横断面研究基于中国SLE治疗与研究协作组(CSTAR)登记系统,纳入了在CSTAR登记的SLE患者。所有患者均符合美国风湿病学会(ACR)1997年修订的SLE分类标准或SLE国际协作临床(SLICC)2012年SLE分类标准。最终,38,105名中国SLE患者被纳入研究。基线数据在入组时通过使用预定义的标准在线问卷收集。


血脂异常史定义为高胆固醇血症[血清胆固醇]≥5.18mmol/L和/或高甘油三酯血症[血清甘油三酯]≥1.69mmol/L;红细胞沉降率升高定义为血清红细胞沉降率>15mm/h;C反应蛋白升高定义为血清C反应蛋白水平>10mg/L;疾病活动度采用SLEDAI-2000定义;疾病损害采用SLICC/ACR损害指数(DI)评估;SLE相关器官受累包括皮肤黏膜病变(急性、亚急性和慢性狼疮皮肤病变)、肌肉骨骼受累(关节炎和肌炎)、浆膜炎(胸膜炎和心包炎)、肾脏受累(24小时尿蛋白>0.5g或尿中红细胞管型)、神经精神系统疾病,以及血液系统受累(溶血性贫血、白细胞减少、血小板减少和血栓性血小板减少性紫癜)等;治疗指在疾病过程中任何时间接受的治疗,且治疗时间超过3个月;疾病持续时间定义为从SLE诊断到在CSTAR数据库登记的时间。


以下三种临床表现列为SLE的重要合并症:心血管疾病(CVD)、脆性骨折(任何部位的骨质疏松性骨折,如椎体、髋部、桡骨远端骨折)和恶性肿瘤。脆性骨折基于影像学诊断或骨密度(T评分≤-2.5)定义;CVD包括冠状动脉疾病(包括心绞痛心肌梗死)和卒中(缺血性或出血性)。


图片

研究结果

图片

Results


患病率和基线特征


在入组患者中,95.5%的患者抗核抗体(ANA)呈阳性,71.3%的患者抗双链 DNA(dsDNA)抗体呈阳性,54.2%的患者干燥综合征A(Ro/SSA)抗体呈阳性。SLE最常见的表现是皮肤黏膜(76.3%)和肌肉骨骼(53.7%)受累,其次是血液系统疾病(44.90%)和肾脏受累(33.4%)。药物使用方面,45.5%的患者接受过糖皮质激素治疗,46.9%的患者接受过免疫抑制剂治疗。72.3%的SLE患者使用过羟氯喹(HCQ)


在所有患者中,1,220名(3.2%)在基线时至少有一种合并症。大多数有合并症的患者年龄在50岁左右,其中86.9%为女性。在有三种合并症之一的患者中,最常见的受累器官是皮肤黏膜系统(71.6%),其次是肌肉骨骼(56.8%)、血液系统(49.3%)和肾脏(40.1%)。SLEDAI-2000评分和SLICC/ACR-DI的中位数分别为4.0和1.0。


在有任何重要合并症的患者中,28.7%、23.8%和21.9%的患者分别呈狼疮抗凝物(LA)、抗心磷脂(aCL)抗体和抗β2GP1抗体阳性。关于治疗策略,44.1%和52.0%的患者分别使用糖皮质激素和HCQ。66.5%的有这些合并症的SLE患者接受免疫抑制治疗。


在这些重要合并症中,入组时最常见的是CVD(n=726;1.9%),其中394名患者患有冠状动脉疾病,368名患者有卒中史;这些疾病在男性中更为普遍(4.5% vs. 1.7%;p<0.001)。基线时,273名(0.7%)患者报告既往脆性骨折,女性患者患病率更高(0.7% vs. 0.4%;p=0.02)。恶性肿瘤是SLE患者中最不常见的合并症(n=264;0.7%),男女患者之间无统计学显著差异(0.7% vs. 0.6%;p=0.54)。


本研究人群中合并症重叠不常见,最常见的重叠是CVD和脆性骨折(24例),其次是CVD和恶性肿瘤(15例)以及脆性骨折和恶性肿瘤(4例)。


与心血管疾病相关的因素


单因素分析中,除传统风险因素(如高龄、体重指数增加、血脂异常、高血压和糖尿病)外,疾病持续时间超过2年(OR:1.57;p<0.001)、C反应蛋白水平升高(OR:1.62;p<0.001)、高免疫球蛋白血症(OR:0.58;p<0.001)、低补体血症(OR:0.08;p<0.001)、SLEDAI-2000评分更高(OR:1.03;p<0.001)和SLICC/ACR-DI更高(OR:1.76;p<0.001)与CVD存在相关。


实验室指标方面,CVD患者中LA(OR:2.00;p<0.001)、aCL抗体(OR:1.79;p<0.001)和抗β2GP1(OR:1.69;p<0.001)抗体阳性比例更高,而抗dsDNA(OR:0.73;p<0.001)、抗Sm(OR:0.53;p<0.001)和抗nRNP/U1RNP抗体(OR=0.68;p<0.001)阳性比例更低。


器官受累方面,浆膜炎(OR=1.49;p<0.001)、肾脏受累(OR=1.46;p<0.001)、神经精神系统受累(OR=5.21;p<0.001)和血液系统受累(OR=1.34,p<0.001)与CVD呈正相关。然而,皮肤黏膜表现(OR=0.71;p<0.001)与CVD呈负相关。


治疗策略方面,免疫抑制剂(OR=1.20;p=0.02)与CVD呈正相关,而使用羟氯喹(OR=0.63;p<0.001)与CVD呈负相关。


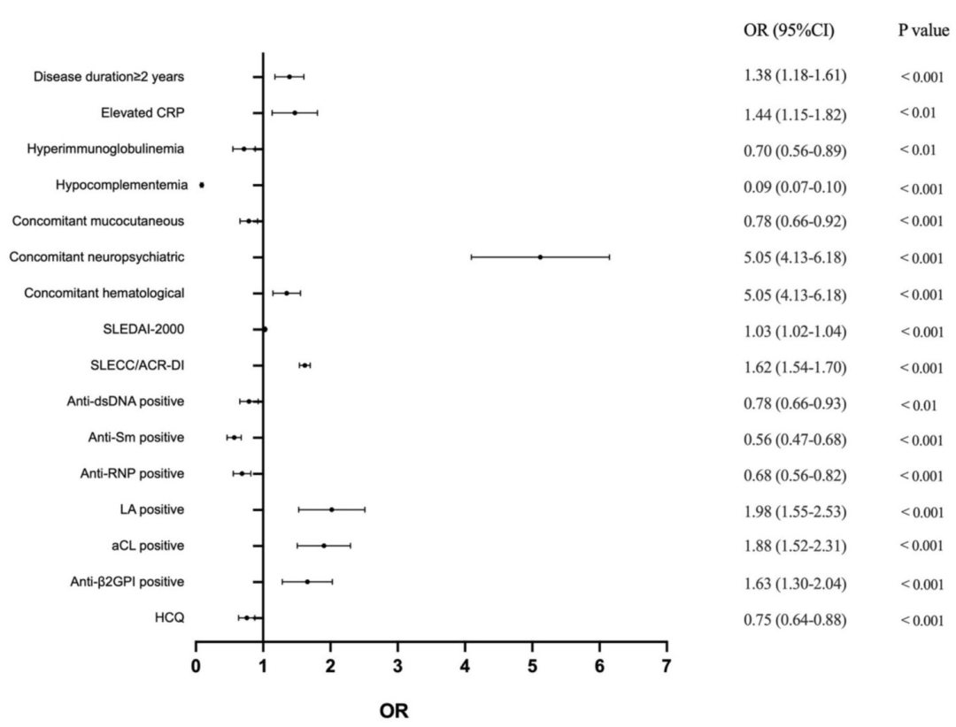
调整年龄和性别的多因素逻辑回归模型1得出的结果与单因素模型相似(图1)。调整年龄、性别、血脂异常、糖尿病和高血压的多因素回归模型2(图2)显示,系统性红斑狼疮病程超过2年、C反应蛋白水平升高、SLEDAI-2000评分更高以及SLICC/ACR损害指数与CVD存在相关。此外,狼疮抗凝物、抗心磷脂抗体、抗β2糖蛋白I抗体、神经精神性狼疮和血液系统疾病与CVD呈正相关。高免疫球蛋白血症、低补体血症、皮肤黏膜表现、抗双链DNA抗体、抗Smith抗体和抗nRNP/U1RNP抗体阳性以及羟氯喹治疗史与CVD呈负相关。


图片
图1 经校正的多因素逻辑回归模型1中与SLE患者CVD风险相关的因素
注:模型1已校正年龄和性别


图片

图2 经校正的多因素逻辑回归模型2中与SLE患者CVD风险相关的因素

注:模型2已校正年龄、性别、血脂异常、糖尿病和高血压


与脆性骨折和恶性肿瘤相关的因素

所有因素(包括临床特征、器官受累、疾病活动度评估、自身免疫特征和治疗策略)最终均纳入多因素分析。在这些因素中,年龄超过50岁(OR=7.07;95%CI:3.62-13.82)、低补体血症(OR=0.06;95%CI:0.03-0.12)和糖皮质激素治疗史(OR=2.38;95%CI:1.35-4.20)与脆性骨折史相关。


多因素分析显示,年龄超过50岁(OR=2.08;95%CI:1.13-3.83)、低补体血症(OR=0.03;95%CI:0.02-0.06)和抗nRNP/U1RNP抗体阳性(OR=2.26;95%CI:1.19-4.31)与恶性肿瘤显著相关


图片

研究讨论和结论

图片

Discussion and Conclusions

本研究依托中国首个全国性系统性红斑狼疮登记队列CSTAR,评估患者三种重要合并症的患病率及相关因素,为临床研究提供参考。


系统性红斑狼疮患者合并症风险及患病率均高于普通人群,其中冠状动脉疾病、卒中相关心血管疾病较常见,影响患者长期预后。本队列中患者脆性骨折患病率为 0.7%,低于欧美队列,推测与基线数据仅入组时收集、缺乏随访,亚临床骨折诊断不足及地理种族因素有关,需进一步研究。高龄、疾病持续时间较长、低补体血症均与三种合并症相关,临床需加强对应患者的合并症监测与预防。

针对心血管疾病,皮肤黏膜表现、高免疫球蛋白血症、低补体血症及抗双链 DNA、抗 Smith、抗 nRNP/U1RNP 抗体均与其呈负相关,抗 nRNP/U1RNP 抗体的负相关或暗示血管病变非致病原因,推测与抗体阳性患者治疗监测更积极有关,但缺乏文献支持,需前瞻性研究验证。本研究发现羟氯喹使用与心血管疾病呈负相关,其他研究未证实,差异或因研究设计、人群不同;糖皮质激素或增加其风险,需避免长期大剂量使用。此外,肾脏受累与心血管疾病呈正相关,但多因素回归模型调整后关联消失,推测与狼疮性肾炎患者合并高血压交叉影响有关,不能否定二者相关性,需前瞻性研究证实。

脆性骨折方面,年龄超 50 岁、糖皮质激素治疗与其呈正相关,但糖皮质激素的影响因研究人群、纳入标准及设计不同尚未达成共识,系统性红斑狼疮与骨骼健康不佳的具体机制需进一步研究。恶性肿瘤方面,免疫抑制剂累积使用或增加癌症风险,但本研究未发现二者关联,因研究为横断面设计无法推断因果,需大规模前瞻性研究证实。此外,低补体血症与脆性骨折、恶性肿瘤呈负相关,推测与对应患者监测治疗更及时有关,需更多数据支持。

本研究存在横断面设计、缺乏长期随访等局限,未来需开展大规模前瞻性研究,探究合并症发生机制及影响因素,为临床防治策略提供依据,改善患者预后。


(本网站所有内容,凡注明来源为“医脉通”,版权均归医脉通所有,未经授权,任何媒体、网站或个人不得转载,否则将追究法律责任,授权转载时须注明“来源:医脉通”。本网注明来源为其他媒体的内容为转载,转载仅作观点分享,版权归原作者所有,如有侵犯版权,请及时联系我们。)

0
收藏 分享