在血液肿瘤领域,TP53突变是B细胞
近日,华中科技大学同济医学院附属同济医院魏佳教授团队在《Signal Transduction and Targeted Therapy》发表了一项具有里程碑意义的长期随访研究,系统评估了CD19/CD22双靶点CAR-T细胞疗法联合或不联合ASCT在TP53突变复发/难治性侵袭性B细胞非霍奇金淋巴瘤(R/R B-NHL)中的长期疗效与安全性,为这一高危人群的治疗提供了重要循证依据。医脉通特整理这项研究的核心发现,以飨读者。
临床困局:TP53突变是传统治疗难以逾越的“
TP53基因编码的
尽管近年来CD19 靶向的 CAR-T 细胞疗法已成为R/R B-NHL二线治疗的重要手段,可带来持续缓解,并有可能实现长期疾病控制,但由于TP53突变可能影响CAR-T细胞的扩增与持久性,甚至导致CD19抗原下调,增加复发风险,其在TP53突变患者中的疗效尚不明确,目前也缺乏TP53异常患者CAR-T治疗后的长期随访数据。如何突破这一瓶颈,成为临床亟待解决的科学问题。
核心发现:双靶点CAR-T联合移植,突破TP53预后屏障
魏佳教授团队开展了一项单中心、长期随访研究,纳入122例R/R B-NHL患者,所有患者均接受CD19/CD22双靶点CAR-T细胞治疗。根据治疗方案患者分为两个队列:队列A(n=65)接受双靶点CD19/CD22 CAR-T治疗;队列B(n=57)接受CAR-T治疗联合ASCT序贯治疗。其中,59例(48.4%)患者携带TP53突变。研究的中位随访时间长达77.77个月,是目前针对TP53突变淋巴瘤患者CAR-T治疗随访时间最长的研究之一。
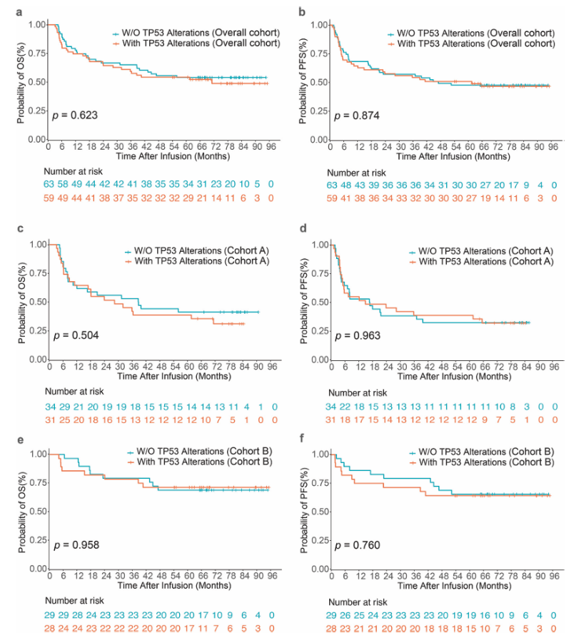
突破预后瓶颈:TP53突变不再决定预后
研究显示,无论是在单药组还是联合移植组,TP53突变患者与野生型患者在总生存期(OS)和无进展生存期(PFS)上均无显著差异(OS:P=0.623;PFS:P=0.874)(图1a,b)。
队列A(CAR-T):TP53突变组与野生型组的中位OS分别为28.23个月和未达到显著差异水平(P=0.504),两组间PFS无显著差异(P=0.963),5年OS率为40.0%(图1c、d)。
队列B(CAR-T+ASCT):两组间OS(P=0.959)和PFS(P=0.760)同样无显著差异,5年OS率高达70.2%(图1e、f)。

图1 基于TP53变异的OS和PFS的Kaplan-Meier生存曲线
这一结果表明,CD19/CD22双靶点CAR-T治疗可能有效抵消TP53突变带来的不良预后影响。
治疗策略升级:联合ASCT显著提升长期生存
在整体人群中,队列B患者的5年OS率高达70.2%,5年PFS率为64.9%,显著优于队列A(5年OS:40.0%;5年PFS:35.4%)(图2a,b)。即使在TP53突变组中,队列B同样展现出更优的生存优势,提示ASCT联合CAR-T治疗可能具有协同增效作用(图2c,d)。

图2 比较两组患者OS和PFS的Kaplan-Meier生存曲线
多因素Cox回归分析显示,治疗方案与巨大肿块是影响OS和PFS的独立预后因素。
长期安全性可控:非复发死亡率低
在长达5年以上的随访中,该治疗方案展现了良好的安全性特征:
非复发死亡率(NRM):全组5年累积NRM率为10.7%(队列A为9.2%,队列B为12.3%),且TP53状态不影响NRM(图3a)。
继发恶性肿瘤:发生率仅为2.5。
晚期血液学毒性:在早期(3个月)的血液学毒性负担相似,但在12个月和24个月时,队列A的血小板减少、中性粒细胞减少和
免疫重建:队列B患者的B细胞恢复早于队列A,CD4+T细胞恢复趋势两组相似,CD8+T细胞与NK细胞水平稳定(图3d)。整体来看,TP53突变状态未对免疫重建或晚期不良事件构成显著影响。

图3 安全性数据图
研究意义:为TP53突变淋巴瘤患者带来治愈可能
魏佳教授团队这项研究首次以超过5年的长期随访数据证实,CD19/CD22双靶点CAR-T治疗,尤其是在联合ASCT的情况下,能够为TP53突变R/R B-NHL患者带来持久且稳定的生存获益,其5年生存数据与野生型患者无显著差异,安全性可控,展现出治愈潜力。
医脉通认为,这一研究不仅填补了TP53突变淋巴瘤患者CAR-T治疗长期数据的空白,也为未来个体化、精准化治疗策略的制定提供了重要依据。随着双靶点CAR-T、抗体药物偶联物、双特异性抗体等新型免疫疗法的不断涌现,如何进一步优化治疗路径、克服TP53介导的耐药,将是未来研究的重点方向。我们也将持续关注这一领域,期待更多中国学者的研究成果为全球血液学发展贡献智慧与力量。
参考文献:
Mao Z, et al. Long-term follow-up demonstrates the curative potential of dual CD19/CD22 CAR-T-cell therapy alone or combined with autologous stem cell transplantation in TP53-altered relapsed/refractory B-cell non-Hodgkin lymphoma. Signal Transduct Target Ther. 2026 Feb 13;11(1):53.
编辑:Felicia
审校:Janet
排版:Rina
执行:Baa
声明:本平台旨在为医疗卫生专业人士传递更多医学信息。本平台发布的内容,不能以任何方式取代专业的医疗指导,也不应被视为诊疗建议。如该等信息被用于了解医学信息以外的目的,本平台不承担相关责任。本平台对发布的内容,并不代表同意其描述和观点。若涉及版权问题,烦请权利人与我们联系,我们将尽快处理。
(本网站所有内容,凡注明来源为“医脉通”,版权均归医脉通所有,未经授权,任何媒体、网站或个人不得转载,否则将追究法律责任,授权转载时须注明“来源:医脉通”。本网注明来源为其他媒体的内容为转载,转载仅作观点分享,版权归原作者所有,如有侵犯版权,请及时联系我们。)