

前言

一年一度的肿瘤领域盛会——2025年欧洲肿瘤内科学会年会(ESMO 2025)于10月17日至21日在德国柏林隆重举行。在这场肿瘤领域的年度盛事中,一系列前沿临床研究成果得以公布,全球顶尖专家齐聚一堂,为促进临床肿瘤学的进步共襄盛举。

研究背景
临界可切除肝细胞癌(BRHCC)患者术后复发风险高,提示新辅助治疗具有重要临床价值。本团队此前发布的BRHCC-I Ib/II期研究结果显示,术前采用TACE联合仑伐替尼与卡瑞利珠单抗治疗,在病理缓解和无复发生存(RFS)方面展现出良好前景。
研究方法
本研究为开放标签、Ib/II期临床试验,入组患者为经影像学评估为BRHCC,具体标准包括:单发肿瘤直径≥10 cm、2–3个肿瘤且任一>3 cm、超过3个肿瘤但局限于同一肝叶,或合并血管侵犯。患者接受新辅助TACE、仑伐替尼及卡瑞利珠单抗治疗。研究同时纳入一组同期接受直接手术的观察性队列作为对照。

图 研究设计
研究结果
截至2024年7月31日数据截止时,共纳入59例患者,全部达到主要终点,中位随访时间更新至28.0个月(截至2025年8月31日)。Ib期研究纳入6例患者,其中4例接受手术切除。卡瑞利珠单抗组中1例患者达到病理学完全缓解(pCR,33.3%)。II期研究共纳入53例患者。
在Ib/II期研究的59例患者中,48例成功接受手术切除。主要病理学缓解(MPR)率为64.6%(31/48),pCR率为20.8%(10/48),基于mRECIST标准的客观缓解率(ORR)为72.9%(43/59)。3级或4级不良事件包括血小板计数降低(10.2%,6/59)、ALT升高(22.0%,13/59)和导致术前治疗中止的
表 疗效结果

在Ib/II期研究队列中,46例(82.1%)后续接受了肝切除术。随访期间,21例(37.5%)出现复发,5例(8.9%)死亡。在接受手术切除的患者(n=46)中,中位RFS为27.6个月;1年与2年RFS率分别为67.4%和47.8%。与整个观察性队列相比,Ib/II期队列显示出更长的RFS(p=0.001)。

图 RFS分析
研究结论
BRHCC-I研究更新数据进一步支持新辅助TACE联合仑伐替尼与卡瑞利珠单抗在BRHCC患者中的疗效与安全性。本研究结果为推动该三联方案进入后续随机、多中心III期临床试验提供了有力依据。

1479P | 放疗+仑伐替尼+
研究背景
在东亚地区,手术切除仍是伴有门静脉癌栓(PVTT)HCC主要治疗手段,但术后复发率依然较高。仑伐替尼联合PD-1抑制剂对晚期不可切除的HCC有效。放疗有效靶向PVTT,并可能与PD-1抑制剂协同作用。研究评估了新辅助放疗联合仑伐替尼和信迪利单抗后切除HCC患者PVTT的安全性和有效性。
研究方法
入组患者接受针对肝内病灶及PVTT的放疗,同时口服仑伐替尼并静脉输注信迪利单抗。放疗结束后8周进行手术切除。术后继续使用仑伐替尼和信迪利单抗进行为期1年的辅助治疗。主要评估指标包括安全性、病理学缓解及治疗可行性。

图 研究设计
研究结果
2022年10月至2025年1月,共入组13例患者。其中10例成功接受手术切除,切缘均为阴性(R0切除率:100%);1例患者出现疾病进展,1例因肝功能储备不足推迟手术,1例正在等待切除。
术前影像学评估显示,肝原发灶的疾病控制率(DCR)、部分缓解(PR)率和完全缓解(CR)率分别为20.0%、70.0%、10.0%;PVTT的分别为0%、60.0%、40.0%。

图 术前影像学结果
术后病理学评估显示,肝原发灶与PVTT的pCR率分别为20.0%和70.0%。影像学与病理学结果的一致性在原发灶为80.0%,在PVTT为40.0%。
表 术后病理学结果

中位RFS为12.0个月,OS数据尚未成熟。所有患者均未发生≥3级不良事件。

图 RFS分析
研究结论
PVTT相较于肝癌原发灶显示出更高的放射敏感性,pCR率更优。新辅助三联疗法可增强对PVTT的局部控制,有利于实现R0切除,且安全性良好。影像学与病理学缓解评估之间存在差异,提示需要探索更精准的疗效预测生物标志物。该项中期研究结果支持在未来扩大队列中进一步验证此治疗模式。

1480P | TACE+卡瑞利珠单抗+
研究背景
HCC肝切除术后复发率高,亟需通过新辅助治疗改善患者长期预后。NEO-START研究旨在评估以序贯TACE联合卡瑞利珠单抗及阿帕替尼作为新辅助治疗方案,在单发大型HCC患者中的疗效与安全性。
研究方法
研究纳入单发、可切除且最大径≥10 cm的HCC患者,按1:1比例随机分配至直接手术组或新辅助治疗组。新辅助治疗组患者在随机后1周内接受TACE,随后予以卡瑞利珠单抗联合阿帕替尼,治疗后行肝切除术。主要终点为1年RFS率,次要终点包括病理缓解情况、OS及不良事件发生率。

图 研究设计
研究结果
2024年1月7日至2025年9月25日,研究共纳入42例患者,其中22例随机分配至新辅助治疗组,20例分配至对照组。
表 患者基线信息

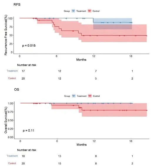
中位随访时间为11.9个月。对照组共观察到8例复发和3例死亡,而新辅助治疗组仅出现1例复发。新辅助治疗组中位RFS未达到,对照组为10.0个月,组间差异具有统计学意义。两组中位OS均尚未达到。

图 RFS和OS分析
新辅助治疗组中,17例患者接受手术切除,4例仍在接受新辅助治疗,1例拒绝手术治疗。该组患者中7例达到MPR,其中3例实现pCR;对照组未见MPR或pCR病例。
表 肿瘤缓解情况

安全性分析集中,新辅助治疗组治疗相关不良事件汇总见下表。两组术后并发症发生率相近。
表 安全性分析

研究结论
序贯TACE联合卡瑞利珠单抗及阿帕替尼作为新辅助治疗方案,在单发大型HCC患者中表现出良好的安全性及显著的抗肿瘤活性,为该类患者提供了具有前景的治疗策略。
参考文献:
Mingheng Liao, et al. Neoadjuvant TACE plus lenvatinib and camrelizumab for borderline resectable hepatocellular carcinoma: Updated results of the BRHCC-I phase Ib/II trial. 2025 ESMO 1478P
Guangxin Li, et al. Safety and Efficacy of Radiotherapy Combined with Lenvatinib and Sintilimab as Neoadjuvant Therapy for Hepatocellular Carcinoma with Portal Vein Tumor Thrombus: Interim Results of an Open-Label, Single-Arm, Multicenter, Prospective Phase I Clinical Trial. 2025 ESMO 1479P
Wei Peng, et al. Neoadjuvant therapy of sequential transcatheter arterial chemoembolization, camrelizumab and apatinib for single large hepatocellular carcinoma (NEO-START): A randomized controlled trial. 2025 ESMO 1480P
撰写:Aurora
审核:Aurora
排版:Aurora
执行:Babel

(本网站所有内容,凡注明来源为“医脉通”,版权均归医脉通所有,未经授权,任何媒体、网站或个人不得转载,否则将追究法律责任,授权转载时须注明“来源:医脉通”。本网注明来源为其他媒体的内容为转载,转载仅作观点分享,版权归原作者所有,如有侵犯版权,请及时联系我们。)