导读
2026年美国临床肿瘤学会泌尿生殖系统肿瘤研讨会(ASCO GU)于近日盛大召开,全球泌尿肿瘤领域顶尖学者汇聚一堂,共同探讨前沿诊疗进展。在本次大会的壁报展示环节,上海交通大学医学院附属仁济医院
摘要号:846
英文标题:Blood and urine-based ctDNA profiling and monitoring in bladder carcinoma in situ.
中文标题:基于血液与尿液的ctDNA图谱分析及监测在原位膀胱癌中的应用
讲者:张瑞赟医生
CIS是一种高级别、
在这项正在开展的前瞻性研究中,共入组了48例CIS患者,并在其接受一线治疗前采集了配对的血样和尿样。此外,研究鼓励疑似出现疾病复发的患者在癌症中心随访期间提供血液和尿液样本。本研究采用PredicineCARE(一种基于靶向二代测序的液体活检技术)来检测ctDNA中的体细胞变异,从而实现对分子层面复发的纵向监测。

图1. 研究设计
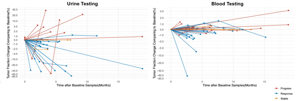
在入组的48例患者中,有46例采集了基线血液样本,其中12例也提供了匹配的尿液样本。在血液样本中,该检测方法共鉴定出42个体细胞突变和37个拷贝数变异。血液中变异频率最高的五个基因为TP53(17%)、FGFR1(11%)、PTEN(9%)、FGFR3(7%)和POLE(7%)。在尿液样本中,共鉴定出58个体细胞突变和13个拷贝数变异,最常见的变异基因为ATM(33%)、TP53(33%)、ARID1A(25%)、BRCA2(25%)和ERBB2(25%)。研究根据鉴定出的体细胞突变估算了肿瘤丰度,以评估分子水平的肿瘤负荷。结果显示,尿液样本的ctDNA信号高于血液样本,在阳性样本中,尿液的中位肿瘤丰度为4.1%,而血液为3.1%(p < 0.001)。
此外,研究还收集了5例疑似疾病复发患者的随访血液样本,其中一人在第二个时间点也提供了尿液样本。肿瘤丰度分析显示,4例患者出现分子水平进展(表现为肿瘤丰度增加),而1例患者的肿瘤丰度下降(降至0),提示达到完全分子缓解。其中1例患者的尿液结果也显示分子水平进展,这与血液样本的观察结果一致。这些分子层面的发现与后续的临床诊断结果相吻合。

图2. 基线突变数量及血液与尿液样本之间的突变重叠情况

图3. 基线尿液样本中的突变图谱

图4.基线血液样本中的突变图谱

图5.尿液与血液样本中肿瘤组分的纵向动态监测
这项研究证明了使用基于靶向二代测序的液体活检方法检测和监测CIS患者血液及尿液中ctDNA的可行性。结果显示,尿液样本比血液样本具有更高的敏感性,且纵向ctDNA动态变化与临床结局相关,这支持了液体活检在膀胱癌非侵入性疾病监测中的应用潜力。
摘要号:849
英文标题:Liquid biopsy guided disitamab vedotin combined with toripalimab and radiotherapy for multimodal organ-sparing treatment of muscle invasive bladder cancer (DECIDING-I study).
中文标题:在液体活检指导下,
讲者:张瑞赟医生
三联疗法目前仍是MIBC保留器官的标准方案,但其临床获益有限,且目前缺乏可用于指导动态治疗决策的无创生物标志物。对于局限性HER2阳性MIBC,临床上迫切需要创新的治疗策略和可靠的生物标志物,以改善患者预后。
在这项概念验证性研究中,我们评估了维迪西妥单抗联合特瑞普利单抗及放疗,在6例局限性HER2阳性MIBC患者中的安全性与疗效。该研究采用PredicineCARE检测平台进行纵向液体活检分析,对ctDNA和尿液肿瘤DNA(utDNA)进行图谱分析,以评估其在监测治疗反应和检测复发中的应用价值。

图6. 研究设计
该联合治疗方案表现出良好的安全性,未观察到4级治疗相关不良事件或死亡。5例患者(83.3%)达到完全缓解,且在随访期间持续无复发。纵向生物标志物分析显示,utDNA检测在监测疗效方面具有高准确性,并能够早期发现肿瘤复发,而ctDNA在血液样本中基本无法检出。

图7. 基线尿液样本中的突变图谱

图8.影像学诊断显示患者5出现疾病进展

图9. 通过utDNA检测观察到的分子反应
该研究证实,对于HER2阳性MIBC,靶向HER2治疗联合免疫治疗及放疗这一新型保膀胱治疗方案具有可行性与有效性。DECIDING-II研究正在进行中,拟在更大规模队列中进一步验证。此外,utDNA作为一种有前景的无创生物标志物,可用于实时监测疗效及早期发现肿瘤复发。这些发现支持对该方案开展进一步研究,有望推动MIBC治疗模式的转变。
本次ASCO GU大会上,我们团队发布的两项基于液体活检的膀胱癌研究,聚焦临床诊疗中的痛点问题,为CIS和MIBC的精准化、微创化管理提供了全新的临床证据与实践思路。
对于CIS这类高复发、高进展风险的特殊膀胱癌亚型,传统监测依赖侵入性手段,且缺乏分子层面的预后与疗效评估依据。我们的研究首次系统性对比了血液与尿液ctDNA在CIS中的检测价值,证实尿液ctDNA具有更高的检测敏感性,其纵向动态变化与临床结局高度契合,这为CIS实现非侵入性的分子监测提供了关键依据,有望替代部分侵入性检查,优化患者的随访管理模式。同时,研究明确了CIS患者血液与尿液中高频突变基因谱,为后续开展靶向治疗、制定个体化干预策略奠定了分子基础。
而在HER2阳性MIBC的保器官治疗领域,当前标准三联疗法获益有限,且缺乏可指导动态治疗的无创生物标志物。我们开展的DECIDING-I研究,创新性地将抗HER2靶向药维迪西妥单抗与特瑞普利单抗、放疗联用,在小样本队列中展现出优异的疗效与安全性,83.3%的完全缓解率远超传统方案,证实了这一新型多模式保器官方案的可行性。更重要的是,研究首次验证了utDNA在监测该联合方案疗效、早期预警复发中的核心价值,弥补了血液ctDNA检测的不足,为MIBC保器官治疗的动态决策提供了可靠的无创生物标志物,也为后续临床研究的设计与实施提供了重要参考。
两项研究均以尿液为核心检测样本,充分契合膀胱癌的泌尿道肿瘤特性,让液体活检在膀胱癌诊疗中实现了“因地制宜”的应用。这不仅丰富了膀胱癌液体活检的临床证据体系,更推动了膀胱癌诊疗向“分子指导下的精准微创”方向发展。目前,我们已启动DECIDING-II研究,拟在更大样本量中验证HER2阳性MIBC新型保器官方案的疗效,同时也将进一步扩大CIS液体活检监测的研究队列,探索基于ctDNA的风险分层与个体化治疗策略。期待未来能与国内泌尿肿瘤同道共同推进研究成果的临床转化,让更多膀胱癌患者从精准诊疗中获益。
张瑞赟 上海交通大学医学院附属仁济医院
2026年ASCO GU大会期间
张瑞赟 医生
主治医师 留法医学博士
仁济医院南院区与西院区膀胱肿瘤临床医疗组-组长
仁济医院国家药物临床试验机构-质控专家
上海市科委青年科技——“启明星”
上海市卫健委——“医苑新星”
中国抗癌协会中西整合膀胱癌专委会-委员
中国民族卫生协会疾病预防控制分会-青年委员
亚洲机器人全膀胱根治协作组ARARC-Committee Member、通讯编委
国际膀胱癌协作-IBCN International Member
BJUI中文版编委会-学术秘书
Oncology Letters、BMC Cancer、Oncology and Transitional Medicine 等杂志审稿人
首届“探届达人”全国中青年泌尿外科医师病例大赛-全国总冠军
首届“荣昌杯”全国尿路上皮癌病例演讲比赛-全国总冠军
本平台旨在为医疗卫生专业人士传递更多医学信息。本平台发布的内容,不能以任何方式取代专业的医疗指导,也不应被视为诊疗建议。如该等信息被用于了解医学信息以外的目的,本平台不承担相关责任。本平台对发布的内容,并不代表同意其描述和观点。若涉及版权问题,烦请权利人与我们联系,我们将尽快处理。
医脉通是专业的在线医生平台,“感知世界医学
(本网站所有内容,凡注明来源为“医脉通”,版权均归医脉通所有,未经授权,任何媒体、网站或个人不得转载,否则将追究法律责任,授权转载时须注明“来源:医脉通”。本网注明来源为其他媒体的内容为转载,转载仅作观点分享,版权归原作者所有,如有侵犯版权,请及时联系我们。)