

前言

大多数
近日,


研究背景
HCC是全球第六大常见癌症、第三大癌症致死原因。多数患者确诊时处于中期,人群异质性带来治疗挑战,优化方案迫在眉睫。TACE联合抗血管生成剂及免疫抑制剂的转化治疗展现显著获益,可实现肿瘤降期缩瘤。目前,中期HCC转化术后与直接切除的疗效对比研究不足,其预后及优势获益人群尚不明确。
为此,本研究开展多中心队列分析,采用倾向评分匹配(PSM)降低选择偏倚,对比中期HCC转化治疗后手术、直接切除及初始可切除病例综合治疗的生存结局,旨在明确转化成功及术后获益的预测因素,建立循证的患者筛选与治疗优化标准。

研究方法
2020年1月至2023年12月期间,于四川大学华西医院、四川省肿瘤医院及福建省立医院确诊的中期HCC患者被纳入本研究。其中,56例患者接受术前转化治疗后切除(转换切除组),162例接受直接切除(直接切除组),30例患者仅接受综合治疗且未接受手术切除(综合治疗组)。进行了倾向评分匹配以平衡基线特征,并系统评估了病理反应。

研究结果
基线特征
本研究共纳入248例患者,其中192例患者为初始可切:30例仅接受综合治疗(综合治疗组),162例接受直接切除(直接切除组)。另外56例患者在成功转换治疗后接受切除(转换切除组)(图1)。患者的基线特征见表1。

图1 研究设计
表1 综合治疗组、转换切除组和直接切除组基线特征的比较


肿瘤反应与不良事件
采用mRECIS标准评估转换切除组的治疗反应,18例患者观察到完全缓解(CR),34例部分缓解,4例患者病情稳定。在接受转换治疗的56例患者中,最常见的急性发生事件为33例腹痛(58.9%)、30例AST升高(53.6%)和28例食欲减退(50.0%)。此外,27例患者报告了3级不良事件(48.2%),其中包括1例PD-1相关
围手术期数据
在研究中,162例患者分别接受了直接切除组和转化切除组的肝切除。所有患者均接受了R0切除术。根据中国
病理结果
术后
生存分析结果
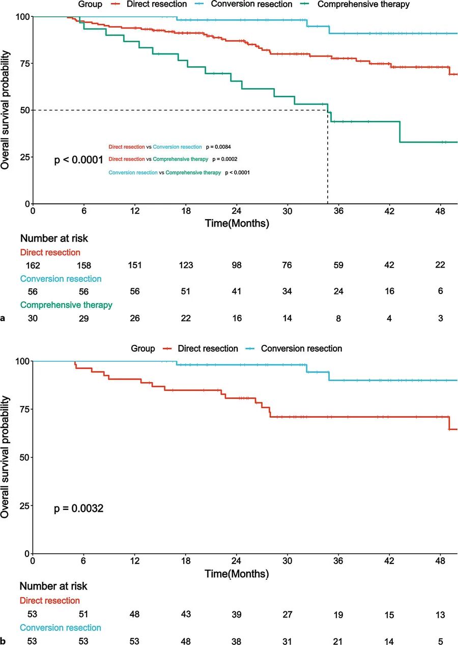
所有患者的中位随访时间为35.50个月(范围:4.07–59.28)。随访期间,转化切除组17例(30.4%)和直接切除组111例(68.5%)患者复发(p<0.001)(图2a)。
1、2、3和4年的无复发生存(RFS)率在转换切除组中高于直接切除组。两组中位RFS存在显著差异(未达标,12.3个月,p<0.0001)。转换切除组和直接切除组未达到中位数总生存(OS)率,而综合治疗组中位数为34.7个月(图3a)。
采用PSM模型分析后,得到了相似的结果。经PSM匹配后,转化切除组匹配患者的1、2、3年RFS率均高于直接切除组,分别为86.8% vs 45.3%、70.2% vs 20.4%、67.0% vs 17.5%,差异具有统计学意义(p<0.0001,图 2b)。
此外,转化切除组患者的1、2、3、4年OS同样高于直接切除组(p=0.0032,图3b)。

图2 RFS分析

图3 OS分析

研究结论
本多中心研究表明,术前转化疗法可改善中期HCC患者病理反应、减少MVI并提升长期生存;pCR/MPR 可作为有效预后指标,指导个体化治疗。但受限于回顾性设计与治疗方案异质性,结论尚需前瞻性随机试验验证。未来应围绕优化患者筛选、完善治疗方案及探索肿瘤应答机制展开研究,推动转化疗法成为 HCC 多学科治疗的核心策略。
撰写:jessie
审核:Aurora
排版:jessie
执行:Aurora

(本网站所有内容,凡注明来源为“医脉通”,版权均归医脉通所有,未经授权,任何媒体、网站或个人不得转载,否则将追究法律责任,授权转载时须注明“来源:医脉通”。本网注明来源为其他媒体的内容为转载,转载仅作观点分享,版权归原作者所有,如有侵犯版权,请及时联系我们。)