来源:IBD Daily
炎症性肠病 (IBD) 是一类慢性、复发与缓解交替的复杂疾病,主要包括
本研究为一项跨国的前瞻性观察研究,主要目标是评估维得利珠单抗在UC或CD患者中相较于其他生物制剂的长期安全性。
这项前瞻性、多中心、观察性队列研究纳入了在21个国家的344家医院接受维得利珠单抗或其他生物制剂治疗的CD或UC患者,常规标准治疗及治疗方案调整由主治医生决定,随访时间最长可达7年。
UC的疾病活动度通过部分Mayo评分进行测量。临床缓解定义为部分Mayo评分为≤2 分,且各项评分均≤1分,症状反应定义为部分Mayo评分减少≥2分且较基线下降≥25%,或直肠出血单项评分减少≥1 分,或绝对直肠出血评分为≤1分。CD的疾病活动度通过哈维-布拉德肖指数 (HBI) 进行测量。 临床缓解定义为HBI≤4分。临床反应定义为 HBI 较基线减少≥3分且较基线下降≥30%。
主要安全性结局是严重感染和机会性感染,次要安全性结局为重点关注的不良事件,包括
治疗失败定义为生物制剂停用、IBD相关手术或住院、类固醇使用中的任一事件发生。
研究在2015年3月至2021年12月招募了5208名患者,其中5008 名患者 (维得利珠单抗组:n = 2502;其他生物制剂组:n = 2506) 纳入分析,平均随访时间为37.4±14.1个月。总计3840名 (76.7%) 患者完成了研究,维得利珠单抗组的停药率为 25.4%,其他生物制剂组的停药率为 21.2%。
维得利珠单抗组患者的平均年龄较高,炎症性肠病病程更长,合并用药的使用率也更高,且既往接受过生物制剂治疗的比例更大。这些特征提示该组患者的疾病严重程度更高,临床情况更复杂。
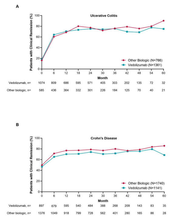
在整个研究期间,维得利珠单抗始终展现出良好的有效性。与其他生物制剂相比,维得利珠单抗在临床缓解、临床反应及黏膜愈合方面的疗效相当。在生物制剂初治患者中,接受维得利珠单抗治疗者的IBD相关住院和手术的发生临床均低于接受其他生物制剂的患者。

图1.维得利珠单抗组和其他生物制剂组的临床缓解情况
维得利珠单抗组与其他生物制剂组患者的严重及机会性感染风险发生率相似,维得利珠单抗组患者中严重及机会性感染的发生率为6.5/100人年 (95% CI 5.9–7.3),其他生物制剂组为 6.6/100人年 (95% CI,6.0–7.4)。两组的未调整发生率比 (IRR) 为0.99 (95% CI,0.85–1.15),Cox回归分析提示两组患者在发生具严重及机会性感染风险方面上无差异 (HR 1.04;95% CI 0.90–1.21;P = 0.60)。
在维得利珠单抗组中,胃肠道感染的发生率为3.6 /100人年 (95% CI 3.1–4.1),其他生物制剂组中为3.2 /100人年 (95% CI 2.8–3.7),两组间的IRR为1.11 (95% CI 0.90–1.36)。在呼吸道感染方面,维得利珠单抗组的发生率为9.2 /100人年 (95% CI 8.3–10.1),其他生物制剂组为7.6 /100人年 (95% CI 6.9–8.4),两组间的IRR为1.21 (95% CI 1.06–1.39)。UC和CD患者使用维得利珠单抗与其他生物制剂的严重及机会性感染、胃肠道感染和呼吸道感染发生率相似。
表2.维得利珠单抗组和其他生物制剂组的治疗相关不良事件

维得利珠单抗组与其他生物制剂组患者的患者分别报告了61.3%和59.5%的治疗相关的不良事件,维得利珠单抗组的发生率为8.9/100人年 (95% CI 8.1–9.8),其他生物制剂组为12.1 /100人年(95% CI 11.2–13.1)。严重不良事件在维得利珠单抗组中有27.5%患者报告,在生物制剂组中有25.7%患者报告,最常报告的严重不良事件为胃肠道疾病,感染和肾脏和泌尿系统疾病。
在生物制剂初治患者和经治患者中,维得利珠单抗组的剂量调整频率均低于其他生物制剂组。输液反应的发生率在两组间相似,未发现与妊娠相关的确认安全性问题,未观察到进行性多灶性白质脑病的发生。 维得利珠单抗组报告18例死亡事件,其他生物制剂组报告13例死亡,两组间无显著差异。
这项的多中心前瞻性观察性研究纳入5008名患者,平均随访超过3年,研究结果表明:维得利珠单抗在溃疡性结肠炎和克罗恩病患者中的长期使用安全性良好,与其他生物制剂相比没有增加严重感染或其他重大不良事件的风险,治疗效果稳定。
致谢
中南大学湘雅医学院 蒋卓媛
中南大学湘雅三医院 王思丹
中南大学湘雅三医院
中南大学湘雅三医院
对本篇文章解读做出的贡献
(本网站所有内容,凡注明来源为“医脉通”,版权均归医脉通所有,未经授权,任何媒体、网站或个人不得转载,否则将追究法律责任,授权转载时须注明“来源:医脉通”。本网注明来源为其他媒体的内容为转载,转载仅作观点分享,版权归原作者所有,如有侵犯版权,请及时联系我们。)