来源:IBD Daily
微量营养素与
Micronutrients are associated with endoscopic postoperative recurrence in Crohn’s disease: a multicenter prospective cohort study in North America Journal of Crohn's & Colitis PMID: 40833017 [IF:8.7] 克罗恩病 (CD) 是
方法
研究招募了在北美6个医疗中心接受回结肠切除术的CD患者,邀请这些患者完成为期2天的食物日记,经临床营养师进行访谈并计算营养摄入情况。随访期间监测并评估患者术后内镜复发情况。采用单因素分析探究营养素摄入与CD术后复发的关系;采用10倍交叉验证的随机森林模型评估营养素摄入和临床因素对术后内镜复发的预测价值。
结果
研究纳入103例患者,其中37例患者经历术后内镜复发;收集了共520份饮食日记,计算得到168个宏量和微量营养素变量。
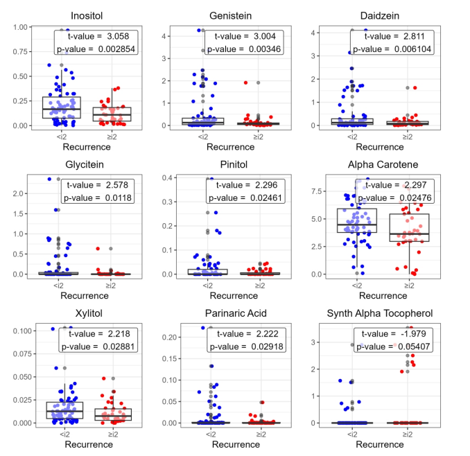
➤与术后复发相关的营养素
研究共发现8种营养素摄入水平较低与术后内镜复发相关,分别是异黄酮类 (大豆苷元、大豆黄酮、甘豆苷元;P < 0.01)、

图1 单因素分析营养素摄入与CD术后内镜复发的关系
敏感性分析结果进一步证实所有异黄酮类 (P < 0.01) 以及白果醇 (P = 0.04) 摄入较低与术后内镜复发显著相关。
进一步对这些营养素进行相关性分析,三种异黄酮 (大豆黄酮,大豆苷元和甘草苷元)之间的相关性极强 (r=1),同时白果醇与这三种异黄酮类之间的相关性较强 (甘草苷元[r=0.83]、大豆苷元 [r=0.88]、大豆黄酮 [r=0.88]),其余营养素之间的关联性较弱。
➤预测术后复发的联合模型
研究使用随机森林模型构建联合模型,ROC曲线分析的结果显示仅使用临床因素时区分度较差 (AUC = 0.59);仅使用营养素时区分度较好 (AUC = 0.67);当营养素与临床因素结合时,区分度进一步提高 (AUC = 0.69)。(图2)
临床因素包括性别、吸烟史、既往肠切除史、手术时的病程长短、手术时的年龄、手术时的穿透性病变以及肛周病变。

图2 联合模型的ROC曲线
左:仅纳入临床因素
中:仅纳入显著营养素
右:纳入临床因素与营养素摄入
结论
该研究发现特定微量营养素摄入较低与CD患者术后内镜复发相关,结合临床因素和营养素摄入可增强对术后内镜复发的预测能力。这些发现强调了术后营养评估的重要性,并提示饮食干预可能有助于预防CD术后复发。
(本网站所有内容,凡注明来源为“医脉通”,版权均归医脉通所有,未经授权,任何媒体、网站或个人不得转载,否则将追究法律责任,授权转载时须注明“来源:医脉通”。本网注明来源为其他媒体的内容为转载,转载仅作观点分享,版权归原作者所有,如有侵犯版权,请及时联系我们。)