第67届美国血液学会(ASH)年会于2025年12月6日-9日在美国奥兰多召开,汇聚了全球血液学领域的顶尖专家,共同探讨前沿科研成果。在本届会议上,上海交通大学医学院附属瑞金医院
原发性中枢神经系统淋巴瘤(PCNSL)是一种罕见、具有高度侵袭性的结外
这项前瞻性、单臂研究在上海交通大学医学院附属瑞金医院开展。入组患者年龄为18-80岁,经组织学确诊为新诊断的PCNSL,且存在可测量的中枢神经系统病灶。治疗方案以28天为一个周期,患者接受静脉注射利妥昔单抗(第0天,375 mg/m²)、大剂量甲氨蝶呤(HD-MTX)(第1天,3.5 g/m²),并持续口服泽布替尼(每日两次,每次160 mg)。计划治疗包括6个诱导周期。针对不适合移植且疗效评估达到部分缓解(PR)或完全缓解(CR)的患者需继续接受泽布替尼维持治疗至少一年主要终点为2年无进展生存期(PFS)。次要终点包括总生存期(OS)、总体缓解率(ORR)、完全缓解(CR)率、安全性及耐受性。不良事件(AEs)依据CTCAE v5.0标准进行分级。疗效评估通过MRI或PET-CT扫描,并依据国际原发性中枢神经系统淋巴瘤协作组(IPCG)标准进行判定。
患者基线特征:2023年7月至2025年7月期间,共入组29例患者。中位年龄为60岁,58.6%的患者ECOG评分≥2分,62.1%的患者non-GCB亚型,34.5%为双表达淋巴瘤(DEL)阳性,41.4%的患者符合纪念斯隆凯特琳癌症中心(MSKCC)高危标准。68%的患者基线期进行了ctDNA检测分析。
表 1、患者基线特征

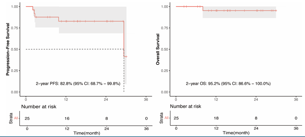
疗效:诱导治疗结束时,客观缓解率达89.7%,完全缓解率为89.7%。中位随访16.2个月后,预估2年PFS率和OS率分别为82.8%和95.2%。

图 1、接受ZRM方案治疗的患者最佳缓解率

图 2、PFS和OS
安全性:治疗方案总体耐受性良好,最常见的≥3级不良事件为白细胞减少、中性粒细胞减少和血小板减少。≥3级肝/肾毒性发生率极低,仅发生一例

图 3、≥3级AE事件
NGS检测:患者肿瘤组织和脑脊液样本基因检测分析结果显示,MCD亚型富集明显,且两种检测具有较高一致性,支持了BTK抑制剂的治疗依据。而CSF检测可以更好的识别低丰度突变,为基因谱的完整性提供了有力补充。

王黎教授
本研究为PCNSL这一难治性疾病的治疗提供了重要突破。为不适合移植的初治PCNSL患者提供了极具前景的一线治疗新选择。该研究不仅在临床疗效上取得了突破性数据——诱导治疗后CR率高达89.7%,预估2年PFS率达82.8%,2年OS率达95.2%,更在分子机制与精准监测层面实现了重要探索。
首先,在传统HD-MTX基础上联合泽布替尼与利妥昔单抗,大幅提升了缓解深度与持久性,且未增加预期外的高级别毒性,尤其未观察到房颤、出血等BTK抑制剂类常见风险,证实了该方案良好的耐受性。其次,本研究通过NGS检测的方法,验证了靶向治疗的生物学基础。肿瘤组织与脑脊液ctDNA测序均显示PCNSL中存在显著的MCD亚型富集(以MYD88/CD79B突变驱动),这从分子层面解释了BTK抑制剂在该人群中的高效性,也为未来精准筛选优势人群提供了依据。最后,创新性地将CSF ctDNA动态监测应用于疗效预测。基线ctDNA水平及治疗早期的清除动力学,可作为早期预后标志物,这为实现个体化治疗调整和早期干预提供了重要工具。未来需要更大规模、随机对照的III期研究进一步验证其疗效,并探索泽布替尼最佳治疗时长、联合用药模式以及耐药机制。
总体而言,这项研究标志着PCNSL治疗从“传统化疗”向“靶向联合”迈出了关键一步,不仅为不适合移植的患者带来了新的希望,也通过整合临床、分子与液体活检,展示了精准医学在难治性淋巴瘤中的实践路径探索。



赵维莅 教授
主任医师,教授,博士生导师
国家杰出青年科学基金获得者
教育部长江学者特聘教授
科技部万人计划领军人才
百千万人才工程国家级人选
上海交通大学医学院附属瑞金医院副院长
上海市重中之重临床医学中心主任
上海血液学研究所所长
国家血液内科专业医疗质量控制中心(筹)共同主任
中华医学会血液学分会副主任委员,淋巴细胞疾病学组组长
中国病理生理学会理事,实验血液学专委会副主任委员
中国临床肿瘤学会淋巴瘤专家委员会副主任委员
上海市医学会血液学专科分会候任主任委员
致力于淋巴细胞疾病的临床和基础研究,以通讯/第一作者在《The New England Journal of Medicine 》、《CANCER CELL》、《NATURE GENETICS》、《BLOOD》、《LANCET HAEMATOL》、《SIGNAL TRANSDUCT TARGET THER》、《J HEMATOL ONCOL》等国际权威杂志发表文章110余篇,总影响因子超过1600。以团队带头人获国家科技进步奖创新团队奖,以第一完成人获国家科学技术进步奖二等奖1项、省部级一等奖6项,获国际发明专利2项、国家发明专利16项,主持国家科技部重点研发计划、863 重大项目、国家自然科学基金重点项目等22项。先后荣获 “全国卫生系统先进工作者”、“全国三八红旗手”、中国青年女科学家奖、法国国家医学科学院Charpak-Dubousset奖、EBMT青年领袖奖、吴阶平医药创新奖、谈家桢生命科学奖、上海市科技精英等多项荣誉。



王黎 教授
上海交通大学医学院附属瑞金医院血液科, 主任医师, 博导,教授
国家优秀青年医师
法国国立生命与健康研究院博士后
中国抗癌协会淋巴瘤整合康复委员会副主任委员
中国CSCO淋巴瘤专委会常委
中华医学会第十一届血液学分会青年委员
中国抗癌协会淋巴浆细胞肿瘤协作组副组长
上海市抗癌协会淋巴瘤专委会副主任委员
主要完成人获国家/省部级奖项10项
上海市教委高原高峰人才
上海市杰出青年医学人才
上海市巾帼创新新秀
上海市东方英才
上海市三八红旗手



夏治洲 医师
上海交通大学医学院附属瑞金医院血液科医师,医学博士
主持国家青年基金等多项基金
第一作者在《Science Advances》、《Cell Death & Disease》、《Genes & Diseases》等发表论文
(本网站所有内容,凡注明来源为“医脉通”,版权均归医脉通所有,未经授权,任何媒体、网站或个人不得转载,否则将追究法律责任,授权转载时须注明“来源:医脉通”。本网注明来源为其他媒体的内容为转载,转载仅作观点分享,版权归原作者所有,如有侵犯版权,请及时联系我们。)