
“华音启思,智涌东方”
其中,来自我国呼吸病学领域知名专家北京大学第一医院王广发教授团队成果丰硕,涵盖呼吸领域的多种疾病,本文摘取了其中4项研究(包含1篇oral及1篇LBA)由金洲博士、赵邦超硕士进行分享,涉及
金洲 分享(左右滑动查看)
赵邦超 分享(左右滑动查看)
他拉泊芬介导的光动力疗法通过HIF-1α/PD-L1通路增强非小细胞肺癌的抗肿瘤免疫


研究背景
近年来,肺癌治疗领域已取得了显著进展,但仍存在诸多未满足需求:手术切除仅适用于20%-25%的早期患者、放疗/化疗对局部控制有效,但受限于
光动力疗法(PDT)作为极具潜力的肺癌治疗手段正受到广泛关注,尤其在与其他治疗方式联合应用时;该疗法已在多个国家获批用于早期肺癌及支气管内肺癌的治疗,目前针对NSCLC的治疗探索也在积极开展。
在日本,基于他拉泊芬的PDT已在中央型早期肺癌治疗中展现出良好效果,但在NSCLC领域,相关基础研究仍较缺乏,其作用机制尚未完全明确,这一空白限制了该疗法的临床推广及联合治疗策略制定。
研究目的
➤探索他拉泊芬介导的PDT在NSCLC中的抗肿瘤免疫效应;
➤阐明他拉泊芬-PDT发挥抗肿瘤作用的潜在分子机制,重点验证是否通过缺氧诱导因子-1α(HIF-1α)-程序性死亡配体1(PD-L1)信号通路调控;
➤评估PDT与PD-L1阻断剂联合使用对NSCLC抗肿瘤效果的影响,明确两者协同作用的可能性。
体外实验结果
在A549和H1299细胞系实验中,他拉泊芬介导的PDT展现出显著的抗肿瘤活性:
➤他拉泊芬-PDT以剂量依赖的方式抑制了A549和H1299细胞的增殖。浓度越高,对这两种细胞系的抑制作用就越强。
➤有效诱导肿瘤细胞毒性,显著促进肿瘤细胞凋亡(尤其晚期凋亡);
➤显著抑制肿瘤细胞迁移能力,减少肿瘤侵袭潜能;
机制层面,PDT可显著升高活性氧(ROS)水平,并上调程序性死亡配体1(PD-L1)和缺氧诱导因子-1α(HIF-1α)的表达(图),同时,敲低HIF1A基因也能逆转PDT介导的PD-L1表达升高。上述结果表明,他拉泊芬介导的PDT可能通过HIF-1α/PD-L1信号通路发挥抗肿瘤作用。

体外试验结果
通过免疫组织化学和免疫荧光分析发现,PDT治疗可显著上调肿瘤组织中PD-L1和HIF-1α的表达,且两者存在正相关关系。

此外更重要的是,PDT与PD-L1阻断剂联合使用时,小鼠肿瘤体积进一步缩小,肿瘤微环境中CD8⁺T细胞、CD19⁺浸润显著增加,同时减少了具有免疫抑制作用的M2型巨噬细胞的数量,同时提高了M1型与M2型巨噬细胞的比例,大幅增强了PDT的抗肿瘤效果。

研究结论
➤在体外研究中,他拉泊芬介导的PDT有效抑制NSCLC细胞增殖、迁移,并促进细胞凋亡。机制层面,PDT可上调HIF-1α和PD-L1的表达,提示HIF-1α/PD-L1轴参与该疗法的免疫调节效应。
➤在小鼠模型中,PDT与PD-L1阻断剂联合使用可增强抗肿瘤疗效,具体表现为肿瘤体积缩小、CD8⁺T细胞与CD19⁺B细胞浸润增加、M2型巨噬细胞极化减少,进而使M1/M2巨噬细胞比值升高
非HIV感染肺孢子菌肺炎患者肺气压伤的临床影响与风险预测:一项单中心15年回顾性研究


研究背景
肺气压伤是肺孢子菌肺炎(PJP)的严重并发症,但在非HIV感染人群中,其对患者预后的影响及相关风险因素尚未被充分阐明。为明确这一问题,本研究开展了针对性探索。
研究方法
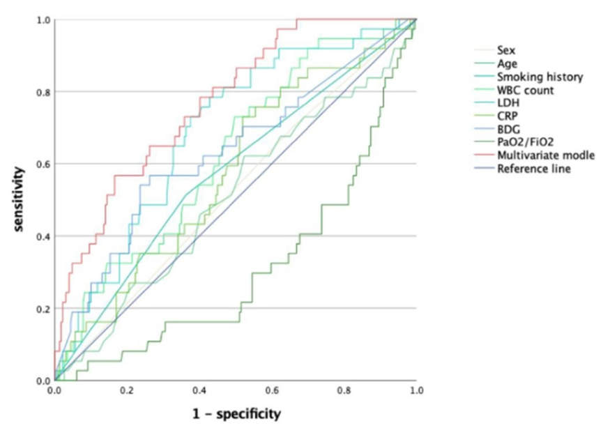
研究团队回顾性分析了2009年1月至2024年12月期间,于北京大学第一医院收治的所有非HIV感染PJP患者。通过卡方检验、t检验开展单因素分析,比较“肺气压伤组”与“非气压伤组”的临床变量差异;再通过多因素logistic回归筛选独立风险因素;最后利用受试者工作特征(ROC)曲线评估风险预测模型的效能。分类变量以“百分比(%)”呈现,连续变量以“中位数(四分位距)”描述。
研究结果
➤在334例患者中,40例(12.0%)发生肺气压伤,具体包括
➤入院时实验室检查显示,肺气压伤组患者的白细胞计数(WBC,8.7×10⁹/L vs 7.4×10⁹/L)、乳酸脱氢酶(LDH,506IU/L vs 383IU/L)、C反应蛋白(CRP,63.68mg/L vs 50.12mg/L)、β-D-葡聚糖(283.85pg/mL vs 108.12pg/mL)及支气管肺泡灌洗液(BALF)中性粒细胞比例(53% vs 20.5%)均高于无气压伤组,而白蛋白(28.25g/L vs 30.6g/L)和氧合指数(PaO₂/FiO₂,165.52mmHg vs 266.67mmHg)低于无气压伤组。
➤多因素分析结果显示,吸烟史(OR=2.939,P=0.034)、乳酸脱氢酶(LDH,每升高20IU/L,OR=1.041,P=0.025)、β-D-葡聚糖(每升高20pg/mL,OR=1.020,P=0.012)是肺气压伤的独立预测因素;而氧合指数降低(每降低20mmHg,OR=0.905,P=0.026)与肺气压伤风险呈负相关(即氧合功能越差,风险越高)。该多因素预测模型的曲线下面积(AUC)为0.771(95% CI:0.72-0.83),提示模型具有中等预测准确性。

研究结论
肺气压伤是非HIV感染PJP的常见且具有临床意义的并发症。本研究通过识别关键风险因素并构建预测模型,为其病理生理机制与早期干预路径提供了新视角;同时强调:在非HIV感染PJP的综合管理中,需重视“宿主特征(如吸烟史)、病原体相关指标(如β-D-葡聚糖)、呼吸功能参数(如氧合指数)”的整合评估。
甘油三酯-葡萄糖指数与哮喘急性发作的关联:一项基于人群的研究


研究背景
代谢功能异常与呼吸系统疾病密切相关,甘油三酯-葡萄糖指数(TyG指数)是评估代谢功能异常的重要指标。本研究旨在探索TyG指数与哮喘急性发作的潜在关联,并分析不同亚组中的差异。
研究方法
研究纳入2009-2018年美国国家健康与营养调查(NHANES)数据,共964例参与者。采用多因素logistic回归、亚组分析、平滑曲线拟合及阈值效应分析模型,系统探索TyG指数与哮喘急性发作的关系。
研究结果
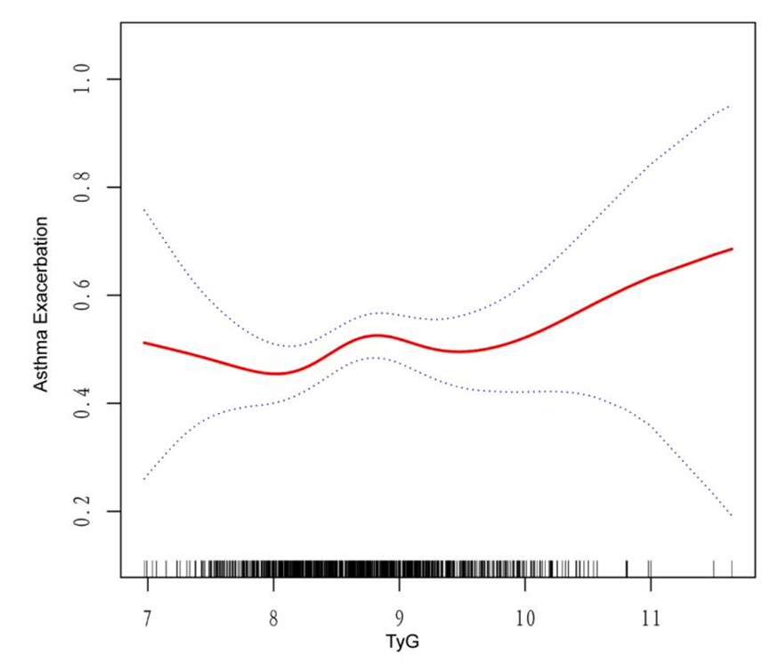
本分析共纳入964名参与者(男性占34.13%,女性占65.87%;非西班牙裔白人占45.4%,非西班牙裔黑人占25.3%),平均年龄为50.57±17.32岁。研究发现,甘油三酯-葡萄糖指数(TyG)与哮喘急性发作之间存在非线性正相关关系,且这一关系在三个模型中均稳定存在。
在完全调整模型中,参与者的TyG水平每增加1个单位,哮喘急性发作风险升高25%(OR:1.25,95% CI:1.21-1.30)。

亚组分析显示,在女性、20-59岁人群以及体重指数(BMI)<25或≥30者中,TyG与哮喘急性发作之间存在显著相关性。
此外,通过平滑曲线拟合发现,男性中TyG与哮喘急性发作呈U型关系,拐点位于TyG水平9.15处。

研究结论
TyG指数与哮喘急性发作呈非线性正相关,且在不同性别、年龄、BMI及种族亚组中存在显著差异。本研究提示TyG指数在哮喘急性发作管理中具有潜在临床价值,尤其强调需制定针对性别的风险管理制度。
重金属暴露与肺功能及气道炎症的关联:一项基于人群的研究


研究背景
人类普遍暴露于多种重金属,但重金属对呼吸健康(尤其是肺功能和气道炎症)的影响尚未完全明确。本研究旨在探索血清中多种重金属水平与肺功能、气道炎症标志物的关联,为环境重金属污染防控及呼吸健康保护提供依据。
研究方法
本研究纳入2011-2012年美国国家健康与营养调查(NHANES)数据,收集者血清中汞(Hg)、镉(Cd)、铅(Pb)、锰(Mn)、硒(Se)五种重金属水平,同时测定肺功能指标(第1秒用力呼气容积FEV₁、用力肺活量FVC、FEV₁/FVC比值)和气道炎症标志物(呼出气一氧化氮分数FeNO),采用多因素回归、亚组分析及贝叶斯核机器回归(BKMR)、加权分位数和(WQS)分析等方法探索关联。
研究结果
本研究共纳入3576名成年参与者。在完全调整模型中,血清汞(Hg)与呼出气一氧化氮分数(FeNO)呈正相关[0.20(0.02,0.37)]。血清镉(Cd)与第1秒用力呼气容积(FEV₁)[-106.22(-143.64,-68.80)]、用力肺活量(FVC)[-74.94(-119.22,-30.66)]及FEV₁/FVC[-1.35(-1.82,-0.88)]均呈显著负相关;血清铅(Pb)与FEV₁[-17.85(-27.48,-8.21)]、FVC[-14.84(-26.22,-3.45)]及FEV₁/FVC[-0.14(-0.26,-0.02)]也呈显著负相关;而血清锰(Mn)与FEV₁/FVC呈显著正相关[0.09(0.02,0.15)]。在模型2中,硒(Se)暴露与FEV₁及FEV₁/FVC呈正相关,但在完全调整模型中,这些关联无统计学意义。
亚组分析显示,体重指数(BMI)会影响血清Hg、Mn、Se、Pb与FeNO之间的关系。贝叶斯核机回归(BKMR)分析提示,镉暴露与FeNO、FEV₁及FEV₁/FVC存在单向负向暴露-反应关系。五种重金属联合暴露对FeNO水平的整体效应为抑制性。加权分位数和(WQS)分析发现,镉暴露是与FeNO、FEV₁及FEV₁/FVC关联最显著的负相关因素;相反,汞暴露是与FeNO关联最显著的正相关因素,硒对FEV₁及FEV₁/FVC的正向权重最强。
研究结论
本研究发现重金属与肺功能及气道炎症之间的关联存在差异。镉和铅暴露与肺功能下降相关,而汞暴露与气道炎症呈正相关。这些发现强调了加强重金属暴露环境监管的必要性。未来研究应采用更多前瞻性方法以明确这些关系。
王广发 教授
教授、主任医师、博士生导师
现任北京大学呼吸病学系主任、北京大学第一医院呼吸和危重症医学科主任医师、北京大学第一医院密云医院院长
国家卫生健康委新冠肺炎联防联控机制专家组成员
国家卫健委呼吸内科内镜诊疗技术专家组副组长
中华医学会呼吸病学会前常委、第1-第3届介入呼吸病学学组组长
中国医师协会内镜医师分会副会长、呼吸内镜专家委员会主任委员
北京呼吸内镜和介入学会主任委员
北京医师学会呼吸医师分会常务理事
美国胸科医师学会(ACCP)资深会员、中国区理事
世界支气管和介入肺脏病学联盟执委会委员、董事
金洲 博士
北京大学第一医院 呼吸和危重症医学科 在读博士研究生 导师王广发教授
以第一或共一作者发表sci论文10篇,多次参加中华医学会呼吸年会、亚太呼吸年会和欧洲呼吸年会等会议发言交流。
获得北京大学博士研究生国家奖学金、北京大学三好学生标兵、2024年APSR Travel Award,担任Respiratory Research等杂志审稿人。
目前研究方向是非小细胞肺癌的机制研究和慢性气道疾病的临床研究。
赵邦超 硕士
呼吸治疗师
北京大学第一医院 呼吸和危重症医学科 在读硕士研究生 导师王广发教授
参加中华呼吸医学会年会,欧洲呼吸医学会年会等论文壁报交流
研究方向:人类诱导多能干细胞在呼吸介入领域的应用
本平台旨在为医疗卫生专业人士传递更多医学信息。本平台发布的内容,不能以任何方式取代专业的医疗指导,也不应被视为诊疗建议。如该等信息被用于了解医学信息以外的目的,本平台不承担相关责任。本平台对发布的内容,并不代表同意其描述和观点。若涉及版权问题,烦请权利人与我们联系,我们将尽快处理。
(本网站所有内容,凡注明来源为“医脉通”,版权均归医脉通所有,未经授权,任何媒体、网站或个人不得转载,否则将追究法律责任,授权转载时须注明“来源:医脉通”。本网注明来源为其他媒体的内容为转载,转载仅作观点分享,版权归原作者所有,如有侵犯版权,请及时联系我们。)