2025年10月5~9日,国际帕金森和运动障碍协会(MDS)大会在美国夏威夷举办。作为全球规模最大的运动障碍领域盛会,MDS大会每年汇聚数千名专业人士,集中呈现数百项科学进展,为临床医生与研究者搭建起全球对话的平台。

四川大学华西医院商慧芳教授在MDS大会现场
本次大会上,四川大学华西医院神经内科商慧芳教授作为中国内地唯一受邀进行大会专题报告(Invited Session)的专家,作题为“Identifying New Therapeutic Targets from GWAS for Parkinson disease”(基于GWAS识别
商慧芳教授系统梳理了近年来帕金森病GWAS研究的重要发现,结合团队最新进展,比较了不同人群中帕金森病遗传特征的异质性,并阐述了如何基于GWAS数据开展风险位点与致病基因的筛选、功能验证及转化研究路径。报告重点介绍了围绕SNCA、LRRK2、GBA、MAPT、FAM171A2等基因靶点的药物研究与试验进展。内容系统、观点前沿,获得与会专家广泛关注与好评。
会议期间,华西团队围绕帕金森病(PD)、


背景和目的:一些研究人员发现,帕金森病 (PD) 患者的肺功能下降速度比健康人更快。然而,肺功能与罹患 PD 风险之间的关系仍不明确。本研究旨在探讨肺功能与PD发病风险之间的关联。
方法:基于英国生物样本库的数据,采用Cox比例风险模型分析肺功能指标,包括用力肺活量(FVC)、第
结果:研究共纳入322,731名参与者。研究发现,较低的肺功能指标(尤其是PEF)与帕金森病风险增加相关。中介效应分析表明,多种炎症标志物,如嗜酸性粒细胞、淋巴细胞、单核细胞、中性粒细胞、中性粒细胞与淋巴细胞比率、血小板与淋巴细胞比率、全身免疫炎症指数以及网织红细胞,在PEF与帕金森病之间的关联中发挥了中介作用。

结论:肺功能下降,尤其是PEF下降,可作为预测PD风险的潜在指标。炎症变化在两者关联中起着至关重要的作用,凸显了炎症改变在PD病理生理学中的重要意义。
背景和目的:双等位基因PLA2G6突变与早发性常
方法:报告西南地区14例PLA2G6相关帕金森病病例,并进行系统文献综述。
结果:
本研究纳入14例患者,共鉴定出16种PLA2G6 变异,包括7种新型变异和9种既往报道的变异。患者平均发病年龄为26.50±6.57岁。最常见的首发症状是帕金森综合征(9/14,64.3%),其次是步态障碍(6/14,42.9%)和精神症状(1/14,7.1%)。
文献综述发现,118例PLA2G6相关帕金森综合征患者平均发病年龄为24.53±8.84岁。最常见的初始临床特征包括帕金森综合征(61/117,52.1%)、小脑体征(46/85,54.1%)、
亚组分析显示,中国患者的平均发病年龄(26.65±7.08岁)大于欧洲血统患者(20.83±9.79岁)(p=0.016)。此外,欧洲血统患者的帕金森综合征在发病后5.35±8.14年才出现。欧洲血统患者(10/16,62.5%)报告的铁沉积率高于中国患者(6/37,16.2%)(p=0.0002)。
结论:本研究为PLA2G6相关帕金森病的多样化临床表现提供了新的见解,包括帕金森病特征、精神症状、认知障碍和早期
背景和目的:数字健康干预 (DHIs)是技术驱动的物理康复和疾病护理工具。随着特定DHIs治疗帕金森病 (PD) 疗效的证据不断涌现,亟需对其在PD症状中的疗效进行系统性综合评估。本研究旨在评估DHIs对PD患者的有效性,并报告其覆盖范围、接受度和可行性。
方法:检索PubMed、MEDLINE、Embase、Web of Science、CINAHL、Cochrane Central Register of Controlled Trials和APA PsycInfo数据库中从建库至2025年1月的随机对照试验(RCT)。主要结局指标包括运动症状、认知功能、精神症状、非运动症状和总体生活质量。次要结局指标包括覆盖率、参与率、脱落率和可行性。采用随机效应模型计算效应量,即基线和随访评估时组间标准化均值差,并应用Hartung-Knapp-Sidik-Jonkman方法调整标准误。使用I²和τ²统计量评估研究间的异质性,并通过亚组分析和meta回归来分析异质性来源。采用Cochrane随机试验偏倚风险工具评估纳入研究的偏倚风险。
结果:本系统综述共纳入101项随机对照试验(5095例患者),荟萃分析纳入90项随机对照试验(4102例患者)。干预后评估显示,DHIs显著改善了运动症状(图1)、认知功能(图2)、精神症状(图3)和非运动症状(图4),但生活质量未见显著改善(图5)。运动症状、认知功能和精神症状的改善在随访评估中保持稳定。结果显示存在显著的异质性。荟萃回归分析表明,年龄、女性比例和干预监督模式是异质性的重要来源,年龄较大与运动症状的改善更显著相关,而女性比例较高与精神症状的改善效果较差相关。
上下滚动查看更多
结论:DHIs与帕金森病患者的运动症状、认知功能、非运动症状和精神症状的改善相关,但与生活质量改善无关。由于研究结果存在较大异质性,因此应谨慎解读这些结论。未来的研究应侧重于开展更大样本的高质量试验,并增加在低收入和中等收入国家的实施。
背景和目的:快速眼动睡眠行为障碍(RBD)是突触核蛋白病中常见的非运动症状。然而,此类疾病中与RBD相关的功能性脑网络改变,以及伴有疑似快速眼动睡眠行为障碍(pRBD)的帕金森病(PD)和多系统萎缩(MSA)患者之间的差异,仍未得到充分研究。本研究旨在探讨伴有pRBD的早期PD和MSA患者的功能性脑网络改变,以区分疾病特异性变化并评估其作为生物标志物的潜力。
方法:研究共纳入207名受试者:包括21名PD-pRBD+患者,52名PD-pRBD-,32名MSA-pRBD+患者,49例MSA-pRBD-患者,以及51例健康对照者(HC)。通过静息态fMRI的独立成分分析评估功能连接(FC)。采用ROC分析和AUC评估FC改变的诊断潜力。
结果:
伴有pRBD的PD和MSA患者病情更为严重。
与健康对照者和PD-pRBD-患者相比,PD-pRBD+患者的背侧注意网络(DAN)内的FC降低,而与HC患者相比,基底神经节(BG)与感觉运动网络和突显网络(SN)之间的FC增加,以及听觉网络(AN)与右侧额顶网络(FPN)之间的FC增加(图1A)。
与健康对照者相比,MSA-pRBD+患者表现出广泛的网络内FC降低,前部默认模式网络(aDMN)与左侧FPN之间的FC增加;与MSA-pRBD-患者相比,MSA-pRBD+患者在内侧视觉网络(mVN)内以及mVN与左侧FPN之间的FC发生改变(图1B)。
直接比较PD-pRBD+患者和MSA-pRBD+患者,结果显示PD-pRBD+患者的DAN内FC降低,而MSA-pRBD+患者的mVN内FC以及SN-BG和AN-aDMN网络间FC降低(图1C)。
ROC分析显示,联合FC值在区分PD-pRBD+和MSA-pRBD+与健康对照组者方面具有较高的AUC。值得注意的是,联合DAN、mVN内FC以及SN和BG之间的FC,在区分MSA-pRBD+和PD-pRBD+方面,AUC可达0.94。

结论:伴有pRBD的PD和MSA患者表现出不同的FC改变,这为理解疾病特异性机制提供了线索。联合FC改变具有较高的鉴别能力,可作为这些疾病早期鉴别诊断的有价值的生物标志物。
背景和目的:血清总胆固醇(TC)与多系统萎缩(MSA)发病风险相关。然而,血清TC水平对MSA患者死亡率的潜在影响仍有待进一步研究。本研究旨在明确血清TC基线水平与早期MSA患者生存期的关联。
方法:本研究共纳入364例MSA患者,并在基线和随访期间对其进行评估。根据血清TC三分位法将MSA患者分为三组。采用Kaplan-Meier生存分析和Cox回归模型分析血清TC对生存期的影响。采用限制性立方样条回归分析血清TC水平与生存期之间的非线性关系。
结果:在为期4.75年的中位随访期内,血清TC水平最低组患者的生存期较其他两组更短(Log-rank P =0.004)。多变量Cox回归模型显示,血清TC中等组患者死亡率低于最低水平组(HR:0.47;95% CI:0.23-0.96)。血清TC水平与生存期呈非线性关系,死亡风险最低时血清TC为4.38 mmol/L。


结论:基线血清TC水平与MSA患者生存期呈负相关。血清TC是早期MSA患者死亡的重要预测指标。
背景和目的:营养不良在神经退行性疾病中普遍存在,但其在中国亨廷顿病(HD)患者中的发生率和预后意义尚不明确。本研究旨在调查 HD 患者的营养不良发生率(采用控制营养状况评分 [CONUT]、预后营养指数 [PNI] 和老年营养风险指数 [GNRI])、其与临床相关性及评估营养不良的预后价值。
方法:纳入113例经基因确诊的HD患者及年龄、性别匹配的健康对照者(HC),分析营养不良风险及与随访结果的相关性。采用双样本孟德尔随机化(MR)方法,推断营养评估与HD进展之间的因果关系。
结果:
通过 CONUT 和 GNRI 评估,HD 患者的营养不良患病率高于HC。GNRI评分与 UHDRS-I(r=-0.253,p=0.044)和疾病分期(r=-0.319,p=0.009)呈负相关,与 UHDRS-IV(r= 0.305,p=0.014)和cUHDRS(r= 0.321,p=0.034)呈正相关。
调整年龄、性别和 CAG 重复次数的多变量模型显示,GNRI 评估的营养不良可预测TFC 评分较低(β=0.47,p =0.050)、疾病分期较晚(β= -2.38,p =0.012)、SDMT评分较低(β=0.17,p =0.039)和cUHDRS 评分较低(β=0.612,p =0.011)。cUHDRS评分较低(β=0.325,p =0.047)与HD患者PNI评估的营养不良相关。
生存分析显示,营养不良对HD患者的预后无独立影响,中位生存期为13.87年,但MR结果表明较高的淋巴细胞计数可能延迟HD患者达到TMS30的年龄(β=0.125,95% CI 0.023-0.228;p=0.017)。

结论:虽然营养不良在HD患者中普遍存在,且与功能和认知缺陷相关,但其缺乏独立的预后价值。双样本孟德尔随机化结果表明,免疫-营养相互作用可能影响HD进展的时间。
背景和目的:体细胞CAG重复扩增是亨廷顿病(HD)神经病理学发展的终生过程。血液中的体细胞CAG重复扩增比率(SER)反映了与受遗传CAG长度和基因修饰因素影响的神经元SER共同的效应。了解基于血液的SER与HD突变携带者临床特征之间的关系,可能为开发针对体细胞CAG扩增的疗法提供体内证据。本研究旨在探讨中国西部地区HD患者血液SER与临床特征之间的关联。
方法:采用毛细管电泳法对外周血单核细胞提取的DNA片段进行SER定量。分别在基线和随访时进行临床评估,包括运动功能、认知表现和功能能力。采用多元线性回归模型评估血液SER与临床特征之间的关联。在调整年龄、CAG重复序列及其交互项后的,提取并标准化SER残差,用于敏感性分析。
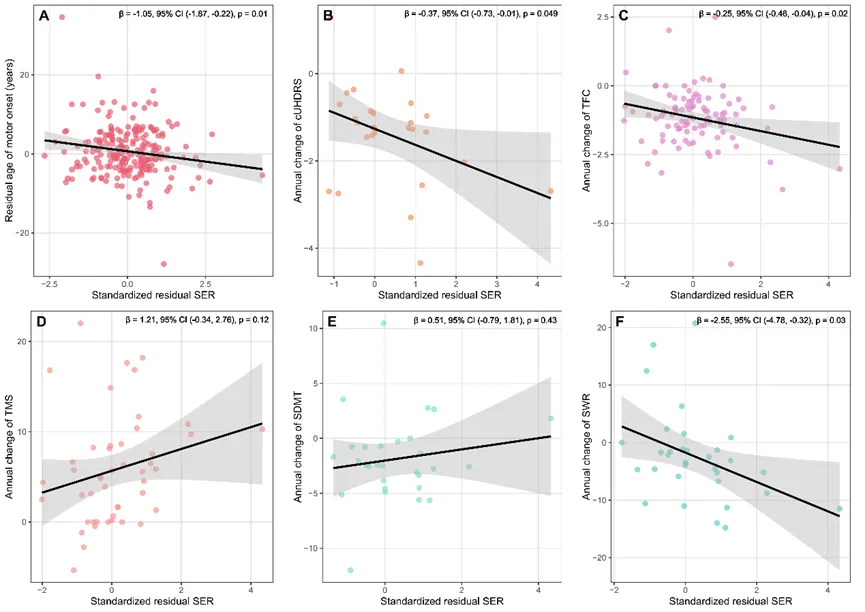
结果:横断面分析共纳入220例显性HD患者,回顾性队列分析共纳入99例患者,平均随访时间为5.03±3.03年。较高的基线SER与较大的运动症状发病年龄残差相关(β=-3.29,[95% CI,-6.29,-0.30],p=0.03,n=220),但横断面分析显示SER与运动和认知症状的严重程度及功能能力无显著相关性。在校正年龄、CAG 重复长度及其交互项后,较高的 SER 与复合 UHDRS(-2.39,[-4.67,-0.11],p=0.04,n=27)及其子量表 TFC(-1.53,[-2.76,-0.30],p=0.02,n=99)和 SWR(-16.22,[-29.43,-3.00],p=0.02,n=32)的进展加快显著相关,而与 TMS(7.38,[-1.32,16.07],p=0.09,n=47)或 SDMT(3.08,[-5.29,-11.46],p=0.45,n=27)的无显著关联。在分析标准化残差SER与HD临床特征时,观察到一致的结果(图1)。
结论:本研究提供的证据表明,SER较高与HD临床进展较快相关,这表明针对体细胞 CAG 扩增的治疗方法可能具有延缓 HD 疾病发生和进展的潜力。

商慧芳 教授
四川大学华西医院
教授/博士生导师/华西医院神经内科副主任/主任医师
国际帕金森和运动障碍协会亚太区委员会后任领导委员会领导
国家卫生健康委罕见病诊疗与保障专家委员会委员
中国老年学和老年医学学会脑认知与健康分会副主任委员
中华医学会神经病学分会遗传学组副组长
中国医师协会神经内科分会帕金森病及运动障碍学组副组长
中国研究型医院学会罕见病分会副主任委员
中华医学会神经病学分会肌萎缩侧索硬化协作组副组长
四川省医学会罕见病学专委会主任委员
四川省预防医学会神经变性疾病防治分会主任委员
四川省医学会神经病学专委会帕金森病和运动障碍病学组组长
四川省学术技术带头人、四川省卫生健康领军人才、四川省万人计划“天府名医”、2024年成都市重大人才
擅长帕金森、痴呆、运动神经元病、亨廷顿舞蹈病、脊髓小脑共济失调等神经遗传变性病及运动障碍病的诊治
擅长肉毒毒素注射神经疾病
负责多项自然科学基金和省部级课题、发表SCI论文300余篇、编写书籍多部
《Translational Neurodegeneration》、《Parkinson&Related Disorder》、《European J of Neurology》杂志编委
《Frontier in Neurology》movement disorder副主编
《Clinical Parkinson & Related Disorder》杂志主编
弦歌不辍 薪火相传 学术常青
▼

商慧芳教授团队合照
参考文献
特别鸣谢:感谢四川大学华西医院程扬帆医生的审核、指导
(本网站所有内容,凡注明来源为“医脉通”,版权均归医脉通所有,未经授权,任何媒体、网站或个人不得转载,否则将追究法律责任,授权转载时须注明“来源:医脉通”。本网注明来源为其他媒体的内容为转载,转载仅作观点分享,版权归原作者所有,如有侵犯版权,请及时联系我们。)