前言
随机Ⅲ期DESTINY-Breast06试验(DB06)已证实,对于激素受体阳性(HR+)、人表皮生长因子受体2(HER2)低表达和超低表达的转移性
研究背景
DB06研究结果充分证实了抗体药物偶联物(ADC)T-DXd在既往接受过至少一种内分泌治疗且未接受过化疗的HR+、HER2低表达以及HER2超低表达的mBC患者群体中取得了显著的疗效,主要研究终点数据显示,T-DXd相较于TPC显著改善了患者的无进展生存期(PFS)(HR=0.64,P < 0.001;mPFS: 13.2个月 vs. 8.1个月)。安全性结果则与T-DXd和TPC的已知特征相符,未发现新的安全信号。
在阳性疗效结果的基础上,全面评估T-DXd对患者生活质量的影响,对于理解其综合临床价值至关重要。PRO能够直接反映患者的治疗体验,对于通常需要长期治疗、高度重视生活质量的晚期乳腺癌患者而言,是评估治疗综合价值的关键维度。因此,DB06研究将PRO作为预设的次要和探索性终点,为T-DXd在HER2低/超低表达mBC中的疗效提供不可或缺的患者视角证据。
研究方法
DB06是一项开放标签的随机Ⅲ期研究,旨在评估T-DXd对比TPC在HR阳性、HER2低表达或HER2超低表达mBC患者中的疗效与安全性。研究纳入HR+、HER2低表达或超低表达且未接受过晚期化疗的mBC患者,并需满足以下任一情况:针对mBC,已接受至少两线内分泌治疗;或仅接受过一线治疗,但患者在开始辅助内分泌治疗后24个月内出现疾病复发,或在开始一线内分泌治疗联合CDK4/6抑制剂治疗后6个月内出现疾病进展。所有入组患者按1:1比例随机分配接受T-DXd或TPC治疗,直至疾病进展。
PRO作为次要和探索性终点。次要PRO终点使用癌症特异性量表进行评估,包括欧洲癌症研究与治疗组织核心生活质量问卷(EORTC QLQ-C30, v3.0)及其乳腺癌特异性模块(EORTC QLQ-BR45)。EORTC QLQ-C30评估总体健康状况/生活质量(GHS/QOL)、多项功能(躯体、角色、情绪、社会和认知)及症状(疲劳、恶心
主要分析指标包括从随机化至疾病进展或31周期间评分自基线的变化(CFB),以及至出现具有临床意义恶化(评分变化≥10分)的时间(TTD)。分析在意向治疗(ITT)人群,即所有随机分组的HER2低表达或超低表达患者,以及HER2低表达患者中进行。
研究结果
2020年7月至2023年4月期间,共纳入来自28个国家的273个研究中心的866例患者(ITT人群),分别接受T-DXd(n=436)或TPC治疗(n=430)。其中,HER2低表达患者共有713例,HER2超低表达患者共153例,各治疗组及各人群间的人口统计学特征和基线临床特征相似(表1)。T-DXd组的中位治疗持续时间为11.0个月,TPC组为5.6个月。
表1 ITT人群及HER2低表达人群的人口统计学特征与基线临床特征1

问卷依从性:
ITT或HER2低表达人群中,关于EORTC QLQ-C30和EORTC QLQ-BR45的问卷总体依从率在T-DXd组和TPC组间相似。
整体健康状况和生活质量:
ITT人群或HER2低表达人群中,研究期间T-DXd组和TPC组的GHS/QOL在评分变化上并无显著差异(图1),且中位TTD时间接近(11.3个月 vs. 10.5个月),表明两组患者治疗期间的整体健康状况和生活质量相似。

图1 ITT人群中,T-DXd与TPC组患者GHS/QOL较基线变化情况1
功能:
在两项量表涵盖的功能维度上,T-DXd组和TPC组患者评分变化均无显著差异。但TTD分析显示,T-DXd显著延缓了多项关键功能的衰退,包括躯体、角色以及情绪功能,使上述功能不同程度地出现具有临床意义的恶化风险降低(图2)。

图2 ITT人群中,基于EORTC QLQ-C30量表的T-DXd与TPC组TTD分析森林图1
关键症状:
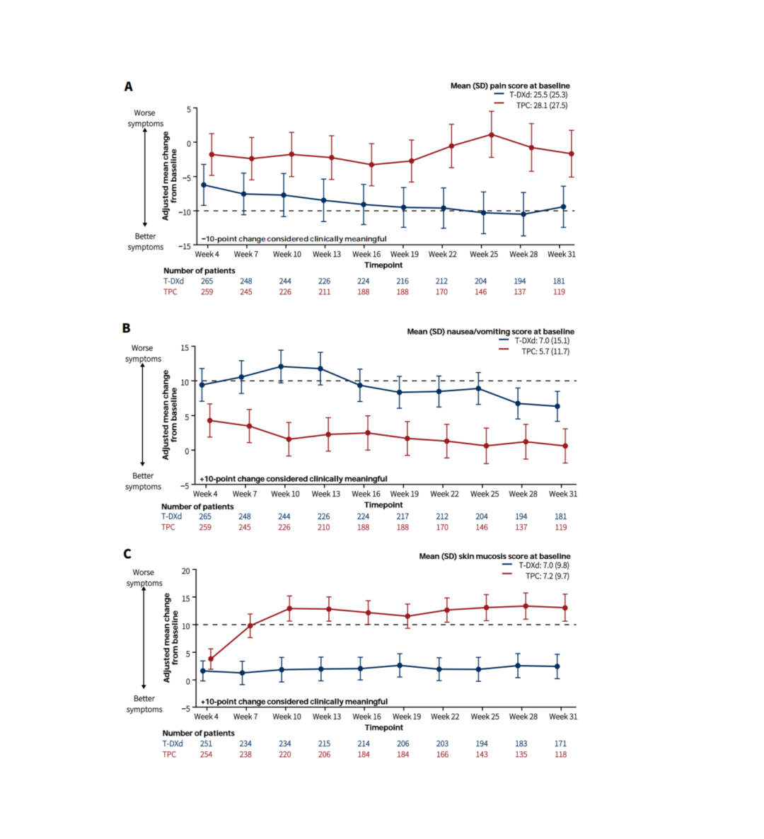
疼痛:
T-DXd组疼痛的平均评分低于TPC组(图3),在第25周和第28周可观察到具有临床意义的改善。更重要的是,T-DXd组疼痛的中位TTD延长(22.0个月 vs. 6.3个月),恶化风险降低了49%(图2)。
疲劳:
两组疲劳症状的评分变化无明显差异,但T-DXd组疲劳的中位TTD更长(4.3个月 vs. 2.9个月,恶化风险降低23%)(图2)。
皮肤粘膜症状:
TPC组患者的皮肤粘膜症状在第7周即出现恶化,而T-DXd组在整个31周治疗期间,恶化程度均较低且稳定(图3)。
胃肠道症状:
在恶心/呕吐、食欲减退以及

图3 ITT人群中,T-DXd与TPC组患者(A)疼痛、(B)恶心/呕吐、(C)皮肤粘膜症状较基线的变化情况1
EQ-5D-5L、PGI-TT分析显示,两组患者的总体健康状态和自评的总体耐受性相似,评分均保持相对稳定且两组变化间无显著差异。PRO-CTCAE结果提示,T-DXd组患者自我报告的恶心、呕吐、鼻出血症状,在发生频率和严重程度上高于TPC组,而TPC组皮肤瘙痒症状更突出。在疲劳和
讨论
DB06研究的PRO分析证实,在HR阳性、HER2低/超低表达mBC患者中,T-DXd在提供显著PFS获益以及中位治疗持续时间几乎延长一倍的同时,维持了与TPC相当的总体生活质量和患者感知的总体耐受性,有力地证明其疗效并未损害患者的整体生活体验,进一步支持其成为新治疗选择。
与此同时,研究揭示,与TPC组相比,T-DXd延迟了躯体功能、角色功能和情绪功能发生恶化的时间,这对于维持患者的日常活动能力和心理健康、避免剂量减低和治疗中止至关重要。在关键症状中,疼痛的有效控制一直以来都是治疗决策的重点,与患者生活质量密切相关。T-DXd组疼痛的TTD得到延缓,恶化风险降低49%,为实现长期治疗效果奠定了基础。值得注意的是,T-DXd组疲劳的TTD也得以延缓,这与此前研究者报告的结果有所不同,更凸显了PRO数据在辅助理解和阐释安全性结果方面的重要性。
同时,研究结果客观确认了T-DXd带来的胃肠道症状负担更重,这与已知的安全性信号一致。但此类症状以低级别为主,极少导致治疗中断,且未对整体生活质量产生负面影响。这强调了在临床实践中优化预防性止吐、通便治疗及加强患者教育的重要性,以全面管理副作用、优化治疗获益。
值得注意的是,尽管
总结
综上所述,DB06研究PRO分析表明,与TPC相比,T-DXd在维持GHS/QOL的同时,延迟了躯体/角色/情绪功能、疼痛和疲劳症状的恶化,但也伴随较多较严重的胃肠道相关症状。这些PRO数据补充了T-DXd的临床疗效和安全性信息,进一步支持T-DXd作为HR+、HER2低表达或超低表达转移性乳腺癌患者在一线或多线内分泌治疗后的新治疗选择。
参考文献:
1.Hu X, et al. Patient-reported outcomes with trastuzumab deruxtecan in hormone receptor-positive, HER2-low or HER2-ultralow metastatic breast cancer: results from the randomized DESTINY-Breast06 trial. ESMO Open. 2025 May;10(5):105082.
审批编号: CN-177413
有效期至:2027/1/27
本文由阿斯利康提供,仅供医疗卫生专业人士参考,不可用于推广目的。
(本网站所有内容,凡注明来源为“医脉通”,版权均归医脉通所有,未经授权,任何媒体、网站或个人不得转载,否则将追究法律责任,授权转载时须注明“来源:医脉通”。本网注明来源为其他媒体的内容为转载,转载仅作观点分享,版权归原作者所有,如有侵犯版权,请及时联系我们。)