当地时间3月28日-30日,第75届美国心脏病学会科学年会(ACC.26)将于美国新奥尔良盛大启幕。会议期间,27项最新突破性临床试验(LBCT)、19项特色临床研究(FCR)结果重磅发布,涵盖
HEPARIN STEMI研究证实,ST段抬高型心肌梗死(STEMI)患者在首次院前医疗接触时应用普通肝素(UFH),可显著提高梗死相关动脉(IRA)通畅率,且不增加严重出血风险。
SMART-DECISION研究表明,对于无心衰、左室功能正常的心梗后病情稳定患者,停用β受体阻滞剂治疗组的主要复合事件终点(全因死亡、再发心梗或心衰住院)发生率不劣于继续用药组。
HOST-EXAM试验10年随访显示,在长达10年的随访期间,相较于传统
Dig-RHD试验是首项以临床结局为主要研究终点、评估地高辛治疗

当地时间3月30日,在特色临床研究V(Featured Clinical Research V)专场,来自斯洛文尼亚卢布尔雅那大学医学中心Misa Fister教授报道了HEPARIN STEMI随机对照试验的结果,并同步发表于国际顶级期刊《Circulation》。
该研究证实,STEMI患者在首次院前医疗接触时应用UFH,可显著提高IRA通畅率,且不增加严重出血风险。
直接经皮冠状动脉介入治疗(PCI)是STEMI的首选再灌注治疗策略。大量证据表明,首次冠脉造影时IRA通畅与更小的梗死面积、更低的死亡率和更好的长期预后直接相关。然而,仅有15%~25%的患者能实现自发性再灌注,因此如何在首次医疗接触(FMC)阶段就实现更早、更有效的院前再灌注治疗,一直是全球心血管领域的攻坚重点。
既往研究探索了P2Y₁₂抑制剂、糖蛋白Ⅱb/Ⅲa抑制剂、
HEPARIN STEMI 研究是一项单中心、开放标签、随机对照试验,旨在严格评估院前肝素的疗效与安全性。
研究纳入2022年3月10日至2025年2月5日,斯洛文尼亚卢布尔雅那大学医学中心连续收治的1162例拟行直接PCI的STEMI患者。600例(52%)患者被随机分为两组分组:院前肝素预处理组和对照组。院前肝素预处理组在FMC时静脉推注70~100 IU/kg UFH,PCI前根据活化
纳入患者年龄≥18岁,

研究设计

研究方法
研究的主要疗效终点为首次造影时IRA TIMI 2~3级的发生率;主要安全性终点为住院期间BARC 3~5级严重出血的发生率。次要终点包括ST段早期回落、
最终共298例患者被随机分配至院前肝素预处理组,295例患者被分配至对照组。两组患者在年龄、性别、危险因素、既往心血管事件以及症状发作至
院前给予UFH至冠脉造影的中位时间为60 min,院前UFH平均剂量为97 IU/kg。
研究显示,UFH预处理组IRA TIMI 2-3级的发生率为43%;对照组为27%(RR=1.59; 95%CI:1.27–1.98;P<0.001)。两组患者的BARC 3-5 级严重出血发生率无显著差异(2.4% vs. 2.0%;RR=1.16,95% CI:0.39–3.45;P=0.789)。

主要疗效终点和安全性终点发生率
在次要终点方面,术后TIMI 3级血流的发生率在两组患者中相似(81.1% vs. 80.8%,P=0.863)。与对照组相比,肝素预处理组的早期ST段回落率更优(65% vs. 59%;P=0.047),24h cTnI水平更低。cTnI峰值、心脏骤停、心源性休克、30天全因死亡率在两组间无显著差异。
次要终点发生率

预设亚组分析结果

研究提示,在成熟的STEMI救治体系中,接受直接PCI的STEMI患者于FMC时使用UFH进行预处理,可使IRA通畅率显著,且未增加严重出血风险。
来自英国赫特福德大学的Diana A. Gorog教授和瑞士卢加诺州医院机构(Ente Ospedaliero Cantonale,EOC)的Antonio Landi教授在随刊评论中对HEPARIN STEMI研究给予了高度评价。其表示,本研究是首项评估真正院前(救护车/首次接触)肝素治疗疗效的随机试验,且除外了P2Y₁₂抑制剂的混杂影响,证据级别更高。研究显示,院前给与UFH可显著提高IRA通畅率,且不增加出血风险,意义重大。未来或可将院前肝素纳入STEMI早期救治流程,并开展更大规模研究,以证实其对死亡、心衰等硬终点的改善。
在AMI规范化治疗体系中,β受体阻滞剂长期占据基石地位,尤其针对合并心衰或左心室收缩功能下降的患者。但随着再灌注治疗与二级预防策略的不断完善,无心衰且病情稳定的AMI后患者,是否需要长期甚至终身服用β受体阻滞剂,成为临床亟待解答的核心问题。
在最新突破性临床试验(LBCT)Ⅵ专场,来自韩国首尔三星医疗中心的Joo-Yong Hahn教授公布了SMART-DECISION研究的最新结果。研究显示,对于无心衰、左室功能正常的AMI后病情稳定患者,停用β受体阻滞剂治疗组的主要复合事件终点(全因死亡、再发心梗或心衰住院)发生率不劣于继续用药组。该研究结果已同布发表于《新英格兰医学杂志》(NEJM),为更新和优化心肌梗死后长期管理提供了关键证据。
β受体阻滞剂可通过抑制交感兴奋、减慢心率、降低心肌耗氧,减少心梗后不良心血管事件。但早期证实其获益的研究多开展于再灌注与二级预防不完善的年代。近年来多项研究提示,在左心室射血分数(LVEF)≥40%、无心衰的稳定心梗患者中,长期使用β受体阻滞剂的获益有限。而在临床实践中,大量患者仅因“既往心梗”史长期服药,或出现乏力、头晕、心动过缓、低血压等不良反应,增加了用药负担。
此前唯一直接对比停药与继续服用β受体阻滞剂策略的ABYSS研究,因终点设计等问题未能证实停用β受体阻滞剂的非劣效性。在此背景下,SMART-DECISION研究采用更为严格的客观临床事件作为主要终点,旨在验证在高度稳定的心梗后患者中停用β受体阻滞剂是否具有非劣效性。
SMART-DECISION研究(NCT04769362)是一项研究者发起、多中心、开放标签、随机、非劣效性试验,在韩国25个中心开展。纳入患者按1:1随机分为停药组与继续用药组,并根据心梗类型、β受体阻滞剂种类和研究中心进行分层。停药组在随机化后立即停药,续用组维持原药原剂量。
研究纳入标准为年龄≥19岁,心梗后病情稳定;接受β受体阻滞剂治疗≥1年;随机化时LVEF≥40%,无心衰病史;无β受体阻滞剂禁忌证;无

研究设计

研究的筛选流程

研究流程图
研究的主要终点为全因死亡、再发心梗或心衰住院的复合终点。次要终点包括各终点组分、心血管死亡、任何原因住院、心血管原因住院、卒中、LVEF及NT-proBNP变化、新发房颤、患者报告结局(PROMIS-29)以及药物相关不良反应。
两组患者的主要终点预期年事件发生率均为3.0%,预设非劣效界值为风险比(HR)1.4,预设入组期3年,追加随访期2年。
在单侧α=2.5%的检验水平下,共需2540例患者以达到80%的检验效能,用于检验主要终点的非劣效性。
研究过程中,实际入组速度超出预期,样本量收集在2年左右完成。为维持原方案的统计效能与中位随访时长,研究将最后1例患者入组后的随访期延长至2.5年,最终中位随访时间为3.1年。
研究共纳入2540例患者(平均年龄63.2 岁,女性12.8%),停药组1246 例,继续用药组1294例。两组患者的基线特征均衡。基线时,56.8%的患者为STEMI,中位LVEF为59%。患者从心梗至随机化的中位时间为4.7年,病情高度稳定,β受体阻滞剂用药以
中位随访3.1年显示,停药组和继续用药组的主要终点事件发生率分别为7.2%和9.0%(HR=0.80;95%CI:0.57~1.13);P=0.001),明确达到了预设非劣效界值。

研究的主要终点结局
在次要终点方面,全因死亡、再发心梗、心衰住院风险、新发房颤、心血管死亡、NT-proBNP变化和LVEF变化,在两组患者中均无显著差异;但停药组患者的卒中发生率更低(0.7% vs. 1.8%,HR=0.43,P=0.047)。

研究的次要终点结局
主要终点的符合方案分析结果与意向性治疗人群的结果一致;在符合方案人群中,全因死亡、再发心梗或因心衰住院的HR为0.79(95%CI 0.56-1.12)。

敏感性分析(符合方案人群)
对各预设亚组(包括年龄、性别、高血压、
在安全性方面,两组患者的严重不良事件发生率相似(11.5% vs. 13.4%)。
研究表明,对于无心衰、左室功能正常的AMI后病情稳定患者,停用β受体阻滞剂治疗组的主要复合事件终点(全因死亡、再发心梗或心衰住院)发生率不劣于继续用药组。
SMART-DECISION研究为全球首项在当代标准治疗基础上,直接证明无心衰、左室功能正常的AMI后病情稳定患者停用β受体阻滞剂不劣与继续用药的随机对照试验。
该研究打破心梗后需要终身服用β受体阻滞剂的传统认知,为低危患者安全减药、停药提供关键证据,有助于减少药物负担与不良反应,优化心梗后长期管理策略。该研究并非倡导所有心梗后患者均停用β受体阻滞剂,而是精准定位了无心衰、左室功能正常的长期稳定的心梗后人群;且可优先考虑长期服用β受体阻滞剂后出现乏力、头晕、心动过缓、低血压等不良反应的患者。
然而,该研究存在一定的局限性:①开放标签设计,或存在一定的偏倚;②非劣效界值较宽,实际事件发生率低于预期,从而降低了估计精度;③女性及LVEF 40%~49%患者比例较低,亚组结果应视为探索性;④研究对象均来自韩国,外推至其他国家/种族时需谨慎。
未来仍需开展进一步研究,以明确更高危患者、女性、LVEF轻度降低人群及其他国家/种族患者停用β受体阻滞剂的安全性与最佳时机;同时,研究者还计划对多项当代相关随机试验进行汇总分析,并开展卫生经济学评估,以指导临床实践。
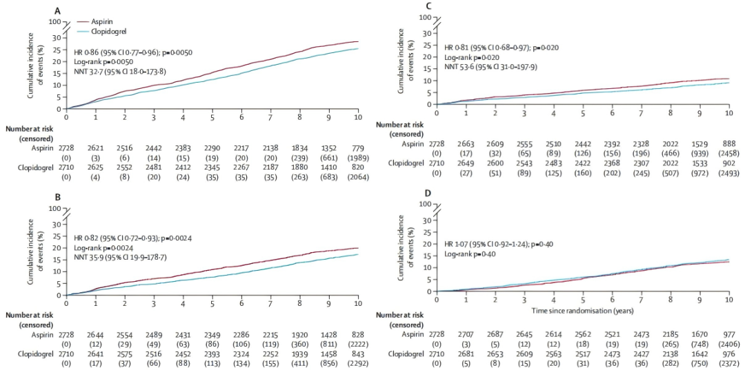
当地时间3月29日,来自韩国首尔国立首尔大学医院的Hyo-Soo Kim教授在FCR-III专场上报告了稳定型冠状动脉疾病患者经皮冠状动脉介入治疗(PCI)置入药物洗脱支架后氯吡格雷与阿司匹林单药治疗的10年随访结果。研究结果显示,在长达10年的随访期间,相较于传统阿司匹林单药治疗,氯吡格雷单药治疗显著降低了主要复合终点事件、血栓事件及出血事件的发生风险。
经皮冠状动脉介入治疗(PCI)成功后,患者在完成双联抗血小板治疗(DAPT)阶段后,需长期接受单药抗血小板治疗,以有效预防主要不良心血管事件(MACE)的发生,实现二级预防。近年来多项临床试验和荟萃分析已初步提示,在PCI术后二级预防的慢性维持阶段,氯吡格雷单药治疗的临床效果可能优于阿司匹林。鉴于PCI术后的二级预防往往需要终身持续,因此,获取超过5年的超长期随访数据对于全面理解不同单药抗血小板治疗的真实长期效果至关重要。为精准填补这一关键知识空白,HOST-EXAM试验启动了一项预设的10年长期随访研究,旨在比较氯吡格雷与阿司匹林单药治疗的长期疗效。
该试验是一项由研究者发起的 HOST-EXAM试验10年延长随访研究。在HOST-EXAM研究中,PCI术后完成6-18个月DAPT且未发生临床事件的患者,按照1:1的比例倍随机分配接受氯吡格雷 75mg每日1次或阿司匹林100mg每日1次治疗。
主要终点是由全因死亡、非致死性心肌梗死、卒中、因急性冠状动脉综合征(ACS)再入院,以及BARC≥3 型出血组成的复合终点。主要分析在意向性治疗人群中进行,涵盖所有随机分配的患者 。次要复合终点包括血栓复合终点(定义为心血管死亡、非致死性心肌梗死、缺血性卒中、因ACS再入院和明确或可能支架血栓形成)以及任何出血事件(定义为BARC ≥2型出血)。

研究流程
2014年3月26日至2018年5月29日期间,试验共纳入5530例患者,其中5438例被随机分配至阿司匹林组(n=2728)或氯吡格雷组(n=2710)。截至 2025年5月1日,所有患者的临床随访状态均得到确认,PCI 术后中位随访时间为10.5 年(IQR 9.4-11.4年),总体随访完成率达92.8%。
在主要终点方面,氯吡格雷组事件发生率低于阿司匹林组(Kaplan–Meier 估计值:氯吡格雷组 25.4% vs 阿司匹林组 28.5%;HR 0.86,95% CI 0.77-0.96;log-rank p=0.0050)。
在次要终点分析中,氯吡格雷组的血栓复合终点发生率亦显著降低,分别为17.3%和20.0%(HR 0.82,95% CI 0.72–0.93;log-rank p=0.0024)。关于出血事件,氯吡格雷组的任何出血(BARC≥2型出血)发生率同样低于阿司匹林组,分别为9.1%和10.8%(HR 0.81,95% CI 0.68–0.97;log-rank p=0.020)。
两组间的全因死亡率并未观察到显著差异,氯吡格雷组为13.4%,阿司匹林组为12.5%(HR 1.07,95% CI 0.92–1.24;log-rank p=0.40)。

图(A)主要复合终点的累计发生率(B)次要复合血栓终点的累计发生率;(C)任何出血的累计发生率;(D)全因死亡的累计发生率。
综上所述,在接受药物洗脱支架PCI的稳定型患者中,氯吡格雷单药治疗在长达10年的随访中,主要复合终点(全因死亡、非致死性心肌梗死、卒中、因急性冠脉综合征再入院和BARC ≥3型出血)的风险显著低于阿司匹林单药治疗。这种临床益处在血栓和出血终点方面均保持一致,而两组间全因死亡率无显著差异。
这些具有里程碑意义的发现,提示氯吡格雷可被视为PCI术后慢性维持阶段长期抗血小板单药治疗的优选药物,为临床实践提供了新的指导方向。
当地时间3月30日,来自新德里全印度医学科学研究院心脏病学教授Ganesan Karthikeyan博士在LBCT-VI专场上报告了Dig-RHD试验结果。试验结果显示,地高辛可降低风湿性心脏病(RHD)患者的全因死亡及新发/恶化心衰的复合终点风险。该试验同步发表于《柳叶刀》(The Lancet)。
风湿性心脏病(RHD)由风湿热所致心脏瓣膜损伤引起。据世界卫生组织数据,全球约有5500万人受累,每年约36万人因此死亡,且绝大多数发生在中低收入国家。风湿热通常在儿童期由链球菌性咽炎引发异常免疫反应所致,由此导致的心脏病常在青年期显现,可进展为心力衰竭并导致早亡。但目前尚无针对此类患者的心力衰竭治疗相关随机对照试验。地高辛价格低廉,尽管缺乏安全性和有效性相关数据,仍在RHD患者中广泛应用。因此,本试验(Dig-RHD)旨在评估地高辛对RHD患者临床结局的影响。
Dig-RHD试验是一项由研究者发起、多中心、随机、平行组、安慰剂对照的优效性试验。纳入标准为:有临床症状、经超声心动图确诊RHD、且无地高辛使用禁忌证。采用中央网络随机化系统,将患者按1:1比例随机分配至口服地高辛(0.25/0.125 mg每日一次)组或匹配安慰剂组(均联合常规治疗)。
主要终点为全因死亡与新发/恶化心力衰竭的复合终点。次要终点包括:全因死亡、心力衰竭相关死亡、心力衰竭住院、猝死及自我报告生活质量。研究预设主要终点事件发生率为30%;纳入约1800例患者时,试验具备83%的检验效能,可检出主要终点风险降低20%。

研究分组
2022年2月至2024年8月期间,在印度12家中心共纳入1769例患者。患者年龄较轻(平均46岁),以女性为主(71.2%)。多数患者合并二尖瓣与主动脉瓣混合病变,二尖瓣狭窄为最常见病变类型,累及93.0%的患者。近70%患者者合并心房颤动或心房扑动,90%为纽约心脏病协会(NYHA)心功能Ⅱ~Ⅲ 级。34%的患者在随机分组前已使用地高辛。
中位随访2.1年显示,地高辛组主要复合终点(全因死亡或新发/恶化心衰)事件发生率显著降低18%(HR 0.82,95% CI 0.70~0.97,P=0.02)。终点组分分析表明,获益主要源于新发/恶化心衰风险下降(组间死亡率无显著差异)。

主要终点
在次要终点方面,心衰相关死亡与加重/恶化心衰复合终点同样以地高辛组显著更低,风险降幅保持在18%。
地高辛可能导致胃肠道反应、视力改变及心律失常等副作用,严重时可危及生命。但本试验中仅1%患者报告毒性反应,多为轻微症状,未出现毒性相关住院或死亡。此外,地高辛组永久停药率为10.3%,安慰剂组为12.1%。

两组停药率
Dig-RHD试验是全球首项以临床结局为主要终点、评估地高辛治疗RHD的随机对照试验,研究结果提示,地高辛治疗RHD总体安全有效,不同性别或BMI亚组获益一致;治疗获益主要来自心衰事件的减少,对死亡率的影响呈中性。这与地高辛在HFrEF患者中的既往研究数据保持一致。研究者进一步推测,地高辛可能对伴有心房颤动的RHD患者带来更大益处,这与亚组分析结果相互印证。
值得关注的是,本研究中因心力衰竭住院的发生率远低于死亡率,这可能反映了中低收入国家或地区心力衰竭管理模式的特点。此外,研究特别指出,本研究所采用的心衰恶化定义可能更适用于中低收入国家或地区,提示在不同医疗资源背景下评估结果外部效度的必要性。Dig-RHD研究为地高辛作为一种安全且经济的治疗方法,为减少RHD患者心衰恶化提供了证据,为全球特别是资源有限地区RHD患者的临床管理提供了新的策略和希望。
信源:ACC.26官网
编辑:GXM siqili
排版:siqili
医脉通是专业的在线医生平台,“感知世界医学脉搏,助力中国临床决策”是平台的使命。医脉通旗下拥有「临床指南」「用药参考」「医学文献王」「医知源」「e研通」「e脉播」等系列产品,全面满足医学工作者临床决策、获取新知及提升科研效率等方面的需求。
本平台旨在为医疗卫生专业人士传递更多医学信息。本平台发布的内容,不能以任何方式取代专业的医疗指导,也不应被视为诊疗建议。如该等信息被用于了解医学信息以外的目的,本平台不承担相关责任。本平台对发布的内容,并不代表同意其描述和观点。若涉及版权问题,烦请权利人与我们联系,我们将尽快处理。
(本网站所有内容,凡注明来源为“医脉通”,版权均归医脉通所有,未经授权,任何媒体、网站或个人不得转载,否则将追究法律责任,授权转载时须注明“来源:医脉通”。本网注明来源为其他媒体的内容为转载,转载仅作观点分享,版权归原作者所有,如有侵犯版权,请及时联系我们。)