来源:中华胰腺病杂志
摘 要
目的 探讨甘油三酯⁃葡萄糖指数(TyG)、甘油三酯⁃葡萄糖⁃体重指数(TyG⁃BMI)与高脂血症性急性胰腺炎(HLAP)重症化的相关性。方法 基于中国高甘油三酯血症相关胰腺炎研究组(CHPSG)多中心回顾性队列,纳入2013年1月至2023年11月间首都医科大学宣武医院、哈尔滨医科大学附属第一医院、南京医科大学第一附属医院、西安交通大学第一附属医院、扬州大学附属医院5家三级甲等医院收治的AP患者临床资料。记录患者的性别、年龄、体重指数(BMI)、血糖、甘油三脂、总胆固醇、高密度脂蛋白、低密度脂蛋白、饮酒史、吸烟史、
全文阅读
急性胰腺炎(AP)是一类常见的消化系统疾病,其中约20%为重症,除局部坏死、坏死感染等局部并发症外,常伴有肺、肾等器官功能衰竭,病死率高、临床预后极差。最新研究显示,高脂血症已取代酒精成为AP的第二大病因,且高脂血症性急性胰腺炎(hyperlipidemic acute pancreatitis, HLAP)的发病率与血清甘油三酯(triglyceride,TG)水平呈正相关。研究显示,当TG水平超过11.3 mmol/L时,AP发病风险约为5%;当TG进一步升高至22.6 mmol/L时,该风险可增至10%~20%。此外,高TG水平不仅是胰腺局部坏死程度加重的危险因素,也是持续器官功能衰竭的独立预测因子。近年来,甘油三酯‑葡萄糖指数(triglyceride‑glucose index, TyG)在糖脂代谢紊乱相关疾病中的应用日益受到关注。已有研究表明,TyG指数可用于评估
资料与方法
一、研究对象
本研究数据来源于CHPSG多中心回顾性队列,纳入包括首都医科大学宣武医院、哈尔滨医科大学附属第一医院、南京医科大学第一附属医院、西安交通大学第一附属医院、扬州大学附属医院5家三级甲等医院自2013年1月至2023年11月间收治的AP患者临床资料。AP的诊断依据需满足以下至少两项标准:(1)特征性腹痛;(2)血清脂肪酶或
二、观察指标及定义
记录患者的性别、年龄、体重指数(body mass index, BMI)、血糖、甘油三脂、总胆固醇、高密度脂蛋白、低密度脂蛋白、饮酒史、吸烟史、糖尿病史、查尔森共病指数(charlson comorbidity index,CCI)、中心分布、器官功能衰竭情况、胰腺及胰周坏死等。器官功能衰竭定义为改良Marshall评分≥2分,并根据是否合并器官功能衰竭将患者分为无器官功能衰竭组和合并器官功能衰竭组。胰腺及胰周坏死的评定依据CT扫描结果,并根据是否合并胰腺及胰周坏死将患者分为无胰腺坏死组和有胰腺坏死组。所有实验室指标均来源于患者入院后24 h内的首次血液检测结果。TyG指数=ln[血甘油三脂(mg/dl)×空腹血糖(mg/dl)]/2;BMI=体重(kg)/身高(m)2; TyG⁃BMI=TyG×BMI。
三、统计学处理
采用R Studio(4.3.1版本)软件进行统计学分析。计数资料以例(%)表示,非正态分布的计量资料以M(Q1, Q3)表示。首先采用单因素和多因素logistic回归分析TyG、TyG⁃BMI与HLAP患者器官功能衰竭、胰腺及胰周坏死之间的相关性。根据性别、年龄、BMI、饮酒史、吸烟史、糖尿病史、CCI、中心分布等变量将HLAP患者分为多个亚组,在每个亚组中独立拟合logistic回归模型,以估计暴露因素与结局的关联效应。最后通过比较亚组间的效应量或检验交互项的显著性来评估异质性。进一步采用限制性立方样条曲线(restricted cubic spline curve,RCS)分析TyG、TyG⁃BMI与器官功能衰竭、胰腺及胰周坏死之间的相关性。绘制受试者工作特征曲线(receiver operator characteristic, ROC),计算曲线下面积(area under curve, AUC),评估TyG、TyG⁃BMI对HLAP患者器官功能衰竭、胰腺及胰周坏死的预测效能。P值<0.05为差异有统计学意义。
结 果
一、基本信息
最终共纳入919例HLAP患者,其中男性684例(74.43%),女性235例(25.57%)。患者中位年龄为39(33,46)岁,中位BMI为27.34(25.03, 29.95)kg/m2,中位血糖为10.79(6.92,14.61)mmol/L,中位甘油三酯为12.92(8.57,22.02)mmol/L,中位TyG指数11.62(11.05,12.26),中位TyG‑BMI为317.34(287.19,351.59)。
与无器官功能衰竭组比较,合并器官功能衰竭组患者年龄更大,血糖、甘油三酯、总胆固醇、TyG及TgG⁃BMI水平均更高。与无胰腺坏死组比较,合并胰腺坏死患者的年龄更大,血糖、甘油三酯、TyG及TgG⁃BMI水平亦更高,差异均有统计学意义(P值均<0.05)。
二、TyG指数与HLAP器官功能衰竭、胰腺及胰周坏死的相关性
如表1所示,将TyG作为连续变量进行多因素logistic回归分析,结果显示TyG指数与HLAP器官功能衰竭的发生呈显著正相关。进一步将919例HLAP患者按TyG指数的四分位数分为4组(Q1~Q4)。以最低四分位组(Q1)为参照,多因素logistic回归分析结果显示,随着TyG指数升高,器官功能衰竭的发生率逐步上升。在模型1(校正性别、年龄、BMI、吸烟史、饮酒史、糖尿病史)与模型2(进一步校正CCI、中心分布、总胆固醇、高密度脂蛋白、低密度脂蛋白)中,Q3和Q4组相较于Q1组的结果,提示TyG越高,器官功能衰竭风险越高。此外,TyG指数与HLAP患者胰腺及胰周坏死的发生率之间也呈现相似的趋势。

RCS曲线进一步分析TyG指数与HLAP器官功能衰竭、胰腺及胰周坏死之间的非线性关系。结果显示,TyG指数与器官功能衰竭发生之间存在显著的非线性关联(图1A);而TyG指数与胰腺及胰周坏死的发生率呈正向线性关系(图1B)。

亚组分析表明,在调整混杂因素后,TyG指数对HLAP器官功能衰竭的影响在性别、年龄、BMI、饮酒史、吸烟史、糖尿病史及CCI亚组中均表现一致,但在中心分布亚组中存在差异;而对于胰腺及胰周坏死,TyG指数的影响在性别和饮酒史亚组中表现出异质性(表2)。

三、TyG⁃BMI与HLAP器官功能衰竭及胰腺胰周坏死的相关性
如表3所示,将TyG⁃BMI作为连续性变量纳入logistic回归分析,结果显示TyG⁃BMI与HLAP患者器官功能衰竭的发生呈显著正相关。根据TyG⁃BMI指数的四分位数,所有入组患者被分为4组(Q1~Q4)。以最低四分位组(Q1)为参照,多因素logistic回归分析结果显示,TyG⁃BMI最高组(Q4)与HLAP器官功能衰竭的发生显著相关。在模型1(校正性别、年龄、BMI、吸烟史、饮酒史、糖尿病史)及模型2(进一步校正CCI、中心分布、总胆固醇、高密度脂蛋白、低密度脂蛋白)中,Q4相较于Q1组的比值比显著升高,提示TyG⁃BMI越高,HLAP器官功能衰竭的发生率越高。此外,无论是将TyG⁃BMI作为连续变量还是根据四分位数分组进行分析,logistic回归均未显示TyG⁃BMI与HLAP胰腺及胰周坏死的发生存在显著相关性。

RCS曲线进一步分析TyG⁃BMI与HLAP器官功能衰竭、胰腺及胰周坏死的非线性关联性,结果显示TyG⁃BMI与器官功能衰竭及胰腺胰周坏死的发生之间均未观察到显著的非线性趋势(图2A、2B)。亚组分析表明,在调整混杂因素后,TyG⁃BMI指数对HLAP器官功能衰竭的影响在年龄、BMI、饮酒史、吸烟史、糖尿病史、CCI、及中心分布亚组中均表现一致,但在性别亚组中存在差异;而对于胰腺及胰周坏死,TyG⁃BMI指数的影响在性别和饮酒史亚组中表现出异质性(表4)。


四、TyG、TyG⁃BMI对HLAP器官功能衰竭及胰腺胰周坏死发生的预测作用
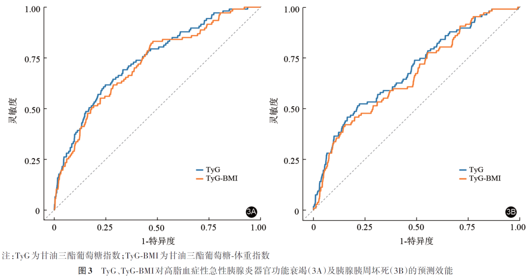
ROC曲线分析结果显示,TyG与TyG⁃BMI对HLAP患者器官功能衰竭的发生均具有良好的预测效能,其中TyG的预测效能(AUC=0.74, 95%CI 0.69~0.79)略高于TyG⁃BMI(AUC=0.72, 95%CI 0.67~0.77)(图3A);而TyG、TyG⁃BMI对胰腺及胰周坏死发生的预测能力均相对有限,其AUC值分别为0.69(95%CI 0.63~0.74)、0.67(95%CI 0.61~0.72)(图3B)。

讨 论
本研究基于一项全国多中心回顾性队列(CHPSG队列),创新性探讨了TyG及TyG⁃BMI等糖脂复合指标与HLAP器官功能衰竭、胰腺胰周坏死的相关性。研究发现,TyG与HLAP器官功能衰竭存在显著非线性相关,并与胰腺及胰周坏死发生呈显著正相关;而TyG⁃BMI仅在其最高四分位组(Q4)中与器官功能衰竭呈正相关,与胰腺及胰腺坏死的相关性不显著。此外,本研究还首次评估了TyG与TyG⁃BMI对HLAP器官功能衰竭及胰腺胰周坏死发生的预测价值,发现二者对器官功能衰竭发生均有一定的预测效能,可作为临床评估的参考指标。
TyG指数于2008年首次被提出,是一种同时反应糖脂代谢及胰岛素抵抗的复合指标。近年来,TyG作为标志性指标受到广泛关注,尤其在多种疾病的诊断与预后评估中显示出重要价值。研究表明,TyG异常是糖尿病前期、糖尿病、糖尿病并发症、心血管疾病(如
随着TyG研究的深入,其衍生指标如TyG⁃BMI、TyG⁃WC、TyG⁃WHtR等也逐渐受到关注。与TyG指数类似,这些指标也被证实与多种糖脂代谢性疾病的发生发展相关。例如TyG及TyG⁃WHtR是非酒精性脂肪肝患者全因死亡率及心血管疾病发生率的有效预测指标;TyG、TyG⁃WC、TyG⁃WHtR对代谢综合征患者的生存预测具有临床意义;TyG⁃BMI是
本研究存在以下局限性:首先,由于横断面设计,缺乏纵向数据进一步验证TyG等指标与HLAP重症化的因果关系;其次,回顾性研究可能存在数据缺失、信息偏倚等问题;此外,虽已校正多种混杂因素,但仍可能存在未纳入的干扰因素;最后,研究数据来源于中国部分地区,结论的外推性需在其他人群中进一步验证。因此,未来有必要开展前瞻性、全国多中心的HLAP队列研究,以更全面评估TyG等指标在HLAP进展中的作用。
(本网站所有内容,凡注明来源为“医脉通”,版权均归医脉通所有,未经授权,任何媒体、网站或个人不得转载,否则将追究法律责任,授权转载时须注明“来源:医脉通”。本网注明来源为其他媒体的内容为转载,转载仅作观点分享,版权归原作者所有,如有侵犯版权,请及时联系我们。)