前言
尽管一线免疫治疗显著提高了广泛期小细胞肺癌(ES-SCLC)患者的生存率,该疾病仍面临快速复发、进展迅速的挑战。目前,临床治疗方案疗效有限,患者预后极差,生存获益尚无显著突破,临床需求亟待满足。近期,浙江省肿瘤医院
研究背景
一线化疗联合免疫治疗显著提高了ES-SCLC患者的生存率。然而,该疾病仍可能会快速进展,诱导治疗后的中位无进展生存期(mPFS)仍不尽人意。研究者开展了两项单臂II期研究,旨在评估ES-SCLC患者在诱导治疗后采用替雷利珠单抗联合抗血管生成药物进行一线维持治疗的效果。
研究方法
研究入组了既往未接受过治疗的ES-SCLC患者,患者先接受4个周期的替雷利珠单抗联合铂类化疗作为诱导治疗,随后以21天为一个周期,接受替雷利珠单抗联合sitravatinib(试验1)或安罗替尼(试验2)作为维持治疗。主要终点是维持治疗分析集(MAS,包括接受≥1剂维持治疗的患者)的1年PFS率。在MAS中,结局从维持治疗开始时进行计算。两项试验均纳入了21例患者,其中各有18例患者进入维持治疗阶段。
研究结果
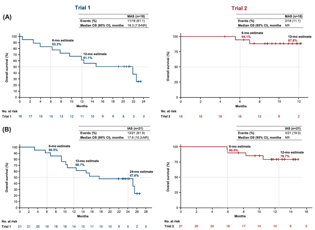
截至数据截止日期,试验1和试验2患者自维持治疗开始后的中位随访时间分别为17.0个月和9.5个月。基于MAS,试验1的mPFS为6.4个月(95% CI,4.5-9.0),试验2为7.8个月(95% CI,3.0-NR)。其中试验1的1年PFS率为22.2%(95% CI,6.9%-42.9%),试验2的1年PFS率未达到(图1A)。试验1和试验2的中位总生存期(mOS)分别为18.3个月(95% CI,7.8 -NR)和未达到,1年OS率分别为61.1%(95% CI,35.3%-79.2%)和87.8%(95% CI,59.5%-96.8%)(图2A)。
自诱导治疗开始起,试验1和试验2的中位随访时间分别为17.6个月和11.7个月。两项试验的mPFS分别为9.1个月(95% CI,7.3-11.8)和10.8个月(95% CI,5.8-NR),1年PFS率分别为26.3%(95% CI,9.6%-46.8%)和33.1%(95% CI,10.0%-58.7%)(图1B)。两项试验的mOS分别为17.6个月(95% CI:10.2-NR)和未达到,1年OS分别为66.7%(95% CI,42.5%-82.5%)和78.7%(95% CI,52.4%-91.5%)(图2B)。

图1 从维持治疗开始时(A)和诱导治疗开始时(B)的PFS

图2 从维持治疗开始时(A)和诱导治疗开始时(B)的OS
在维持治疗期间,超过半数患者在诱导治疗的基础上实现了进一步的病灶缓解,其中试验1的缓解患者占比为72.2%,试验2为50.0%(图3)。在这些患者中,试验1有4例、试验2有3例患者实现了部分缓解(PR),最终确认的客观缓解率(ORR)分别为 22.2%和 16.7%。两项试验的中位缓解持续时间(DoR)分别为9.1个月(95% CI,5.3-NR)和未达到(表1)。
自诱导治疗开始起,试验1和试验2确认的ORR分别为76.2%和 85.7%。其中,试验1有4例患者、试验2有1例患者达到疾病稳定(SD),由此得出两项试验的疾病控制率(DCR)分别为95.2%和90.5%。两项试验的中位DoR分别为8.7个月(95% CI,6.0-13.4)和9.3个月(95% CI,4.4-NR)(表1)。

图3 自诱导治疗开始时(A)和维持治疗开始时(B),靶病灶相对于基线的最佳百分比变化
表1 确认的肿瘤缓解情况

在MAS中,两项试验报告的≥3级治疗相关不良事件(TRAEs)分别为10例和3例。其中,最常见的≥3级TRAEs包括试验1的
表2 最常见的TRAEs

研究者将两项试验中的患者数据进行合并,以进一步分析替雷利珠单抗联合抗血管生成药物的疗效。总体而言,两项试验中共42例患者,其中36例完成诱导治疗并进入维持治疗阶段。
自维持治疗开始起,mPFS为6.9个月(95% CI,4.5-9.1),1年PFS率为20.7%(95% CI,7.5%-38.3%);mOS为21.8个月(95% CI,12.4-NR),1年OS率为70.8%(95% CI,50.1%-84.2%)。自诱导治疗开始起的mPFS为9.2个月(95% CI,7.3-11.8),1年PFS率为29.3%(95% CI,14.8%-45.5%)。42例患者的mOS为25.2个月(95% CI,14.7--NR),1年OS率为72.3%(95% CI,55.4%-83.6%)(图4)

图4 在合并分析中,自维持治疗开始时(A)和诱导治疗开始时(B)的PFS与OS
研究结论
在ES-SCLC患者中,替雷利珠单抗联合sitravatinib或安罗替尼的维持治疗取得了具有临床意义的生存结果,且总体耐受性良好,值得在更大规模的试验中进一步探索。
研究者说
范云教授
目前,对于一线免疫治疗后疾病进展的ES-SCLC患者,治疗选择仍十分有限。在这两项试验中,采用替雷利珠单抗联合sitravatinib(试验 1)或安罗替尼(试验 2)进行维持治疗,取得了具有临床意义的生存结果。自维持治疗开始起,试验1和2的mPFS分别为6.4个月和7.8个月;自诱导治疗开始起,mPFS则分别为9.1个月和10.8个月。在试验1中,自维持治疗开始起的mOS为18.3个月,自诱导治疗开始起的mOS为17.6个月;而试验2中,上述两个时间节点的mOS均为NR。两种联合治疗方案的耐受性总体良好。此外,合并分析显示,无论患者是否存在肝转移、脑转移或骨转移,均观察到具有临床意义的PFS和OS获益。
综上,在标准一线免疫化疗后,于免疫检查点抑制剂治疗基础上联合抗血管生成药物,有望成为一种具有潜力的优化治疗策略,可为ES-SCLC患者延缓疾病进展、最大化一线治疗获益提供帮助。然而,由于样本量有限且受限于单臂设计,对本研究的结果应谨慎解读。尽管如此,本研究关于优化维持治疗的探索性项目取得了具有潜力的结果,值得在更大规模的研究中进一步深入探讨。
总之,对于ES-SCLC患者,在接受替雷利珠单抗联合化疗的诱导治疗后,采用替雷利珠单抗联合sitravatinib或安罗替尼作为维持治疗,展现出具有临床意义的生存结果,且安全性良好。将PD-1抑制剂与抗血管生成药物联合使用,可能为ES-SCLC患者提供一种临床可及、且极具潜力的治疗方案,以延缓疾病进展、延长患者生存期。
范云 教授
浙江省肿瘤医院 胸部肿瘤内科主任,二级主任医师,博导
中国临床肿瘤学会(CSCO)常务理事
CSCO
CSCO小细胞肺癌专家委员会副主任委员
CSCO免疫治疗专家委员会副主任委员
中国抗癌协会非小细胞肺癌专委会常委
中国医师协会肿瘤多学科诊疗专委会常委
浙江省抗癌协会肿瘤内科专委会主任委员
浙江省医师协会肿瘤精准治疗专委会主任委员
浙江省医学会肿瘤学分会副主任委员
参考文献:Yu S, Li H, Lu H, Huang Z, Chen K, Xu Y, Gong L, Xie F, Qin J, Yu X, Zhao J, Lou G, Wang W, Gu C, Han N, Xu X, Shao L, Fan Y. Tislelizumab plus sitravatinib or anlotinib as maintenance therapy in extensive-stage small-cell lung cancer: Results of two prospective phase II studies. Int J Cancer. 2025 Nov 6.
撰写:Kenken
审校:范云教授
排版:Squid
执行:Squid
医脉通是专业的在线医生平台,“感知世界医学脉搏,助力中国临床决策”是平台的使命。医脉通旗下拥有「临床指南」「用药参考」「医学文献王」「医知源」「e研通」「e脉播」等系列产品,全面满足医学工作者临床决策、获取新知及提升科研效率等方面的需求。
本平台旨在为医疗卫生专业人士传递更多医学信息。本平台发布的内容,不能以任何方式取代专业的医疗指导,也不应被视为诊疗建议。如该等信息被用于了解医学信息以外的目的,本平台不承担相关责任。本平台对发布的内容,并不代表同意其描述和观点。若涉及版权问题,烦请权利人与我们联系,我们将尽快处理。

(本网站所有内容,凡注明来源为“医脉通”,版权均归医脉通所有,未经授权,任何媒体、网站或个人不得转载,否则将追究法律责任,授权转载时须注明“来源:医脉通”。本网注明来源为其他媒体的内容为转载,转载仅作观点分享,版权归原作者所有,如有侵犯版权,请及时联系我们。)