
研究人员进行了一项基于人群的队列研究,以评估涵盖所有主要痴呆亚型的大型综合性早发性痴呆(early onset dementia,EOD)队列的生存率和死亡率。该队列研究纳入了来自芬兰两所大学医院区痴呆门诊的794例新诊断的EOD病例,包括
从EOD诊断到死亡的中位生存时间为8.7年。
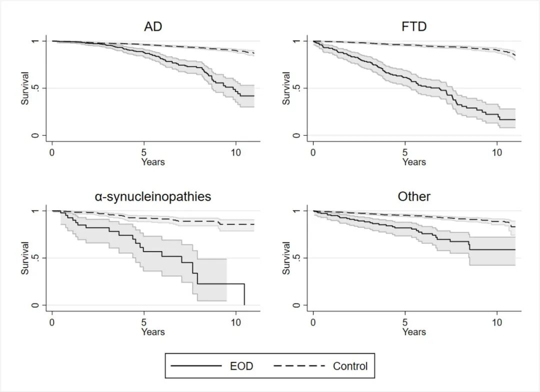
在不同的痴呆亚型组中,额颞叶痴呆(FTD)组的中位生存时间最短(6.9年),其次是α-突触核蛋白病组(7.0年)。在临床亚组中,额颞叶痴呆-肌萎缩侧索硬化(FTD-ALS)患者的生存期最短(2.5 年)。
患有阿尔茨海默病的人平均寿命接近 10 年(9.9年),患有血管性认知障碍的人寿命平均超过10年。
与未患神经退行性疾病的人相比,早发性痴呆患者的全因死亡率高出6.5倍以上(HR=6.56,p<0.001)。在痴呆亚型中,额颞叶痴呆患者的全因死亡率高出近14倍(HR=13.75,p<0.001),血管性认知障碍患者的全因死亡率高出4倍以上。
男性、高龄、合并多种疾病,以及教育程度较低,均普遍与死亡风险增加相关,但这些因素并非早发性痴呆所特有。研究人员表示,早发性痴呆的诊断本身才是与生存时间关联最强且最独立的因素。
只有糖尿病(已知是痴呆的风险因素)与早发性痴呆患者的生存时间缩短有关。

图1.早发性痴呆患者与对照组的生存率估计

图2.分别对早发性阿尔茨海默病、额颞叶痴呆、α-突触核蛋白病和其他早发性痴呆患者与对照组进行生存率估计
研究人员表示:“虽然老年痴呆患者的生存期较短,但对于早发性痴呆患者而言,其因任何原因导致的死亡风险总体影响比无痴呆的普通人群更为显著。”
“该研究在一个经过严格验证的基于人群的大型早发性痴呆队列中,提供了最新的早发性痴呆生存率和死亡率数据,早发性痴呆的诊断对死亡率有显著影响。我们观察到不同早发性痴呆临床亚型、患者性别、合并症(尤其是糖尿病史)、年龄和家族史相关的死亡率存在显著差异。”他们补充道:“准确、最新的早发性痴呆生存率和死亡率数据对于设计医疗服务结构、提供全面的患者管理和开展临床试验至关重要。”
本研究的局限性包括经神经病理学确诊或明确诊断的病例数量有限,队列中的大多数患者仅有临床诊断,而未进行基因或神经病理学确诊。

参考文献:Katisko K, Aaltonen M, Aho K, et al. Survival and mortality rates in early onset dementia. Journal of Neurology, Neurosurgery & Psychiatry Published Online First: 04 November 2025.

(本网站所有内容,凡注明来源为“医脉通”,版权均归医脉通所有,未经授权,任何媒体、网站或个人不得转载,否则将追究法律责任,授权转载时须注明“来源:医脉通”。本网注明来源为其他媒体的内容为转载,转载仅作观点分享,版权归原作者所有,如有侵犯版权,请及时联系我们。)