耿婕 教授
主任医师,二级教授,天津医科大学博士
博士研究生导师,天津市胸科医院心内科综合第二病区行政科主任
天津市“131”创新型人才团队带头人
中华医学会老年医学分会青年委员会委员
中华医学会心血管病学分会委员会预防学组委员
中国卒中专科联盟常务委员
中国医师协会心血管内科医师分会
中国医师协会心力衰竭专业委员会青年工作委员会委员
中国老年医学学会感染管理质量控制分会青年委员会委员
天津市医师协会
天津市医学会心身医学分会青年委员
天津市医学会人文医学分会委员
天津市中西医结合学会专业委员会委员
天津市心脏康复中心联盟委员
《中华老年医学杂志》、《中国心血管杂志》编委、《中国医学前沿杂志》编委
主持或参与市级及局级课题7项,发表SCI论文18篇,中华系列期刊论文10篇,获得实用新型专利2项。
从事心血管内科临床工作近三十年,曾于德国柏林心脏中心、美国佛罗里达大学医学院附属医院ICU进修,具有丰富的心内科重症、疑难、复杂病的诊治经验。
维立西呱是一种新型口服可溶性鸟苷酸环化酶(sGC)刺激剂,既往多项研究已证实其可改善LVEF<45%心衰患者的结局,并且在2022年已经在华获批用于LVEF<45%心衰患者的治疗。然而,其在以心血管死亡和或心衰住院为主要终点的真实世界研究中的证据有限。因此,该前瞻性真实世界研究连续纳入2023年1月至12月期间LVEF<45%的症状性心衰住院患者,旨在评估真实世界中,接受维立西呱治疗的LVEF<45%心衰患者的特征,以及随访数据。
研究设计
该观察性、单中心研究纳入2023年1月1日-12月30日期间的因症状性心衰(LVEF<45%,且纽约
研究结果
研究共纳入207例LVEF<45%的心衰患者,68.6%为男性,平均年龄为65.25岁。与对照组相比,维立西呱组患者更年轻(61.74±14.68岁 vs. 67.29±13.65岁,P=0.007)、心率更低(75.29±16.20次/分 vs. 81.39±16.97次/分,P=0.012)。两组在其他临床和实验室变量方面无显著差异。此外,两组的GDMT处方比例和GDMT使用时间也无统计学差异[2]。
在中位11.25个月的随访期间,13.53%(n=28)的患者死于心血管疾病,23.67%(n=49)患者出院后因症状性心力衰竭再住院。对照组患者的临床终点发生率高于维立西呱组,包括心血管死亡率(18.32% vs. 5.26%)和症状性心衰住院率(43.51% vs. 25%)[2]。
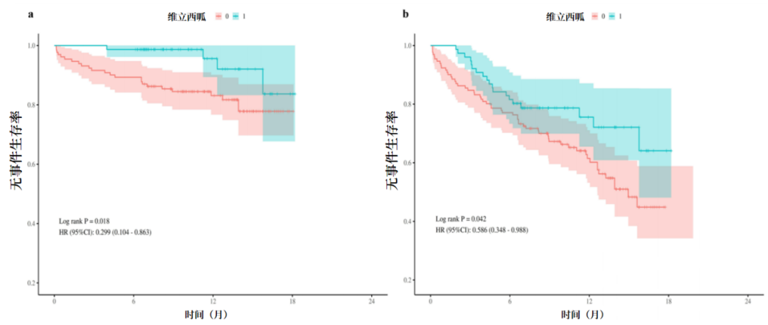
单变量Cox回归分析显示,维立西呱可显著降低心血管死亡风险(HR:0.299,95% CI:0.104-0.863,P=0.026),和心衰住院风险(HR:0.586,95% CI:0.348-0.988,P=0.045)[2]。
表1 临床事件的单变量Cox回归分析

Kaplan-Meier分析显示,维立西呱组患者的心血管死亡无事件生存率更高(log-rank P=0.018)。此外,维立西呱组患者症状性心衰住院的预后更佳(log-rank P=0.042)[2]。

图1 维立西呱组与对照组的无事件生存期分析:心血管死亡(a)及症状性心衰住院(b)
在经倾向评分匹配后,对照组患者的临床终点发生率仍显著高于维立西呱组,包括心血管死亡率(24% vs. 5.33%,P=0.001)和症状性心衰住院率(48% vs. 35.33%,P=0.004)[2]。
表2 倾向评分匹配后两组患者临床事件发生率对比

倾向评分匹配后:
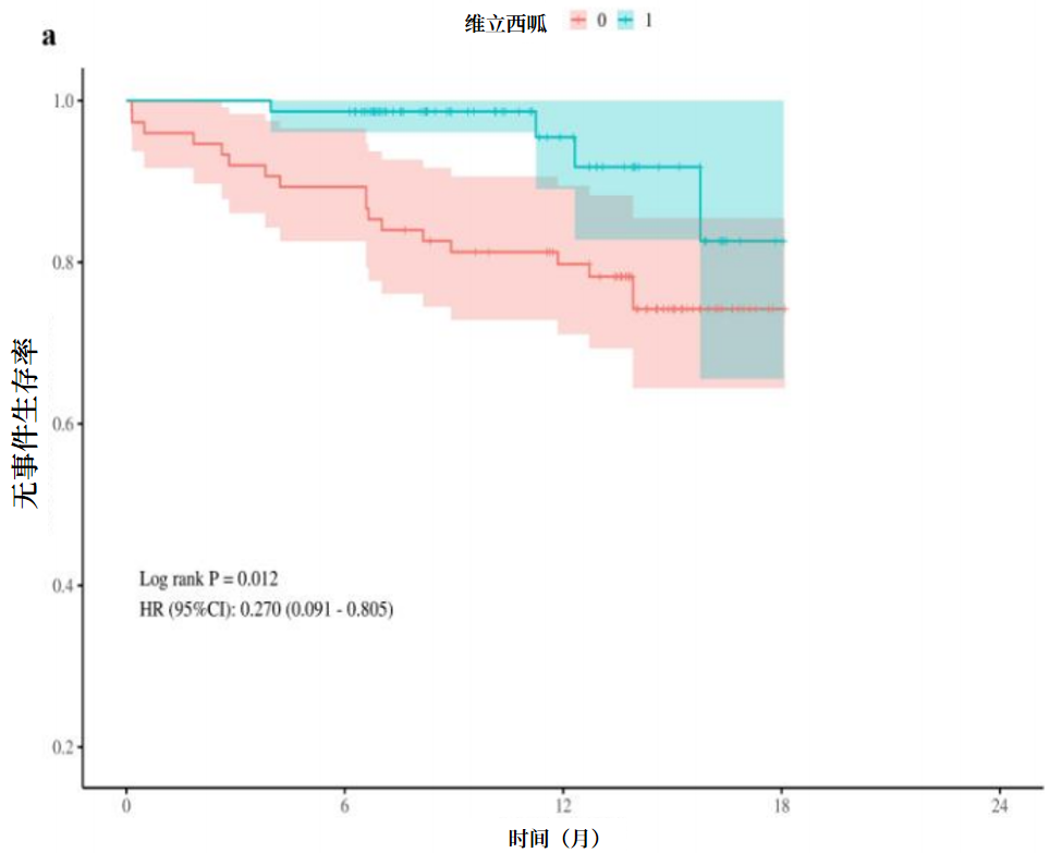
单变量Cox回归分析显示,维立西呱与心血管死亡风险降低相关(HR:0.270,95% CI:0.091-0.805,P=0.019)(表1)[2]。
Kaplan-Meier 分析也显示,维立西呱组患者的心血管死亡无事件生存率更高(log-rank P=0.012)[2]。

图2 倾向评分匹配后维立西呱组与对照组的心血管死亡无事件生存率比较
在倾向评分匹配前后,维立西呱在LVEF<45%患者中的临床结局保持一致。并且,在多变量Cox回归分析中调整年龄和性别后,维立西呱仍与心血管死亡风险降低独立相关(HR:0.311,95% CI:0.104-0.931,P=0.037)。此外,维立西呱在多个亚组中对心血管死亡率的影响一致:无糖尿病患者、使用ARNI的患者、LVEF<40%的患者、B型脑钠肽(BNP)水平较高的患者[2]。

图3 倾向评分匹配后,维立西呱对心血管死亡率的亚组影响分析
研究结论
本研究的核心亮点在于,这项立足中国临床实践的前瞻性研究,不仅再次在真实世界中国人群数据中验证了维立西呱对于LVEF<45%心衰患者的确切疗效:显著降低心血管死亡与心衰住院风险,更将既往临床试验的高质量证据与本土实践数据成功衔接,为国内临床医生应用维立西呱注入了更强的信心[2]。
既往发布的国际多中心试验与此次中国本土真实世界研究的结论互为印证。在2025年欧洲心脏病学会(ESC)年会、2025年美国心脏协会科学年会(AHA)等极具心血管领域影响力的大会上公布的VICTOR研究、VICTOR和VICTORIA研究的汇总分析以及EVE-ACSrEF研究则通过更大样本量、更广泛人群覆盖,证实了维立西呱对于降低心血管死亡获益的普适性。
VICTOR研究:维立西呱可显著降低“稳定期”心衰患者死亡风险
该研究纳入了当前全球随机对照试验(RCT)中背景治疗最为充分、病情最为稳定的门诊HFrEF患者群体(86%的患者近期未住院,44%已接受GDMT治疗),研究结果显示,维立西呱能够降低心血管死亡相对风险17%,并降低全因死亡相对风险16%,尤其可降低心源性猝死风险达25%,且中位获益时间出现较早(5.4个月)。VICTOR研究结果提示临床,心衰不存在绝对的“稳定期”,疾病进展风险贯穿始终,早期启用维立西呱可显著降低稳定性HFrEF患者的心血管死亡和全因死亡风险[3]。
VICTOR和VICTORIA研究的汇总分析:无论近期是否有心衰加重,维立西呱均可显著降低患者心血管死亡风险
该研究基于VICTORIA和VICTOR研究的个体参与者数据进行汇总分析,包括心衰加重患者和无心衰加重的HFrEF患者,研究结果显示,维立西呱显著降低心血管死亡风险(HR=0.89,95%CI 0.80–0.98,P=0.02)及全因死亡风险(HR=0.90,95%CI 0.82–0.99,P=0.03)。这项汇总分析证实,无论近期是否心衰加重,在GDMT基础上加用维立西呱可为广大HFrEF患者带来普适性获益,有效简化了临床治疗决策流程[4]。
EVE-ACSrEF研究:维立西呱可显著降低ACS合并LVEF<45%患者的心血管死亡或心衰住院风险
该研究纳入LVEF<45%的急性冠脉综合征(ACS)患者,主要终点为心血管死亡或心衰住院的复合结局。研究结果显示,维立西呱组可显著降低心血管死亡或心衰住院风险(17.6% vs 6.7%,HR=0.27,95%CI=0.08-0.87,P=0.028),同时显著改善患者NT-proBNP、LVEF水平及堪萨斯城心肌病问卷-生活质量评分(KCCQ-QoL)。该研究结果的发表进一步将维立西呱的临床获益从HFrEF拓展至ACS这一重要且高危的人群[5]。
从VICTOR、VICTOR和VICTORIA研究的汇总分析及EVE-ACSrEF等关键研究的成果的发布,到如今中国本土的真实世界研究提供坚实佐证,维立西呱的获益证据链正日益丰满与立体,共同构建了维立西呱从稳定期到心衰加重,甚至合并ACS的广泛HFrEF人群的全面保护图景。这些相互印证、层层递进的证据表明,维立西呱降低心血管死亡的获益具有跨越不同病程阶段和临床特征的普适性与一致性。

(本网站所有内容,凡注明来源为“医脉通”,版权均归医脉通所有,未经授权,任何媒体、网站或个人不得转载,否则将追究法律责任,授权转载时须注明“来源:医脉通”。本网注明来源为其他媒体的内容为转载,转载仅作观点分享,版权归原作者所有,如有侵犯版权,请及时联系我们。)