肺腑之言 | 翟振国教授团队发文,首次基于年龄界定急性肺栓塞中右心室功能不全的利钠肽界值
2025-08-14


图片


急性肺栓塞(PE)是全球范围内心血管死亡的主要原因之一,其院内死亡率高达2.5%-13.9%30天死亡率达4.9%-14.1%,精准的风险分层和及时干预对改善患者预后至关重要。右心室功能不全(RVD)是急性肺栓塞病理生理机制中的核心环节,也是风险分层的关键指标——合并RVD的患者预后显著差于无RVD者,且未来进展为慢性血栓栓塞性肺动脉高压(CTEPH)等远期并发症的风险更高。



目前,指南推荐通过超声心动图(ECHO)或计算机断层扫描肺血管造影(CTPA)评估RVD,但这些检查受医疗资源可及性和操作者经验影响较大,在基层医院或夜间急诊中往往难以快速实施。利钠肽(NPs)包括B型利钠肽(BNP)和N末端B型利钠肽原(NT-proBNP),作为反映心脏功能的定量生物标志物,具有检测便捷、结果客观等优势,已被广泛用于心力衰竭等疾病的诊断与预后评估。



然而,现有指南中利钠肽的界值多基于左心功能不全人群,针对急性肺栓塞合并RVD的标准化界值尚未确立。此外,利钠肽水平受年龄、肾功能等多种因素影响,尤其是NT-proBNP随年龄增长显著升高,但此前研究未充分考虑年龄对急性肺栓塞中RVD诊断界值的影响。为此,翟振国教授团队基于中国肺血栓栓塞症注册研究(CURES)的大样本数据,开展了一项事后分析,首次探索了年龄调整的利钠肽界值在急性肺栓塞合并RVD中的诊断价值,为临床精准评估提供了重要依据。


图片


研究方法




本研究为CURES研究的事后分析。CURES是一项全国多中心、前瞻性观察性研究(注册号NCT02943343),纳入20161月至202112月中国多家医院确诊的急性肺栓塞患者。本研究从中筛选出符合条件的患者,具体纳入标准为:经CTPA、肺通气灌注显像或肺动脉造影确诊急性肺栓塞;右心室功能评估资料完整;可获得利钠肽(BNPNT-proBNP)水平及基于肌酐的估算肾小球滤过率(eGFR)数据的患者。


研究中,RVD的诊断标准为满足以下任一条件:超声心动图或CTPA显示右心室/左心室(RV/LV)比值>0.9;右心室游离壁运动减弱;三尖瓣反流速度>2.8m/seGFR采用慢性肾脏病流行病学协作(CKD-EPI)公式计算。



统计分析方面,采用接收器操作特征(ROC)曲线确定利钠肽诊断RVD的最佳界值(以约登指数最大化为标准),并计算曲线下面积(AUC)、敏感性、特异性、阳性预测值(PPV)和阴性预测值(NPV)。通过5年间隔(50-75岁)分析年龄与利钠肽界值的趋势,将患者分为<55岁、55-69岁、≥70岁三个年龄组,确立年龄调整界值。采用Kaplan-Meier曲线和log-rank检验分析利钠肽水平与30天全因死亡率的关联,并进行亚组敏感性分析(如排除心血管疾病、肾功能不全、肥胖患者)。


研究结果



研究共纳入4105例患者中,中位年龄65岁,男性占50.5%RVD发生率为18.1%743例)。与无RVD患者相比,RVD患者病情更严重:合并血流动力学不稳定的比例更高(12.2% vs. 4.8%),氧合指数更低(281.0mmHg vs. 319.1mmHg),晕厥(18.6% vs. 7.0%)和呼吸困难(73.5% vs. 58.8%)发生率更高;实验室指标显示,RVD患者D-二聚体(3.5mg/l vs. 2.8mg/l)、肌钙蛋白升高比例(40.0% vs. 18.3%)、NT-proBNP1099.5pg/ml vs. 192.3pg/ml)及BNP243.0pg/ml vs. 71.0pg/ml)水平均显著升高,肝肾功能也更差。



预后方面,RVD患者接受再灌注治疗的比例更高(18.9% vs. 5.5%),但短期预后仍较差:院内肺栓塞相关死亡率(1.5% vs. 0.4%)和30天肺栓塞相关死亡率(2.5% vs. 1.0%)均显著高于无RVD患者。


利钠肽诊断RVD的最佳界值



NT-proBNP界值


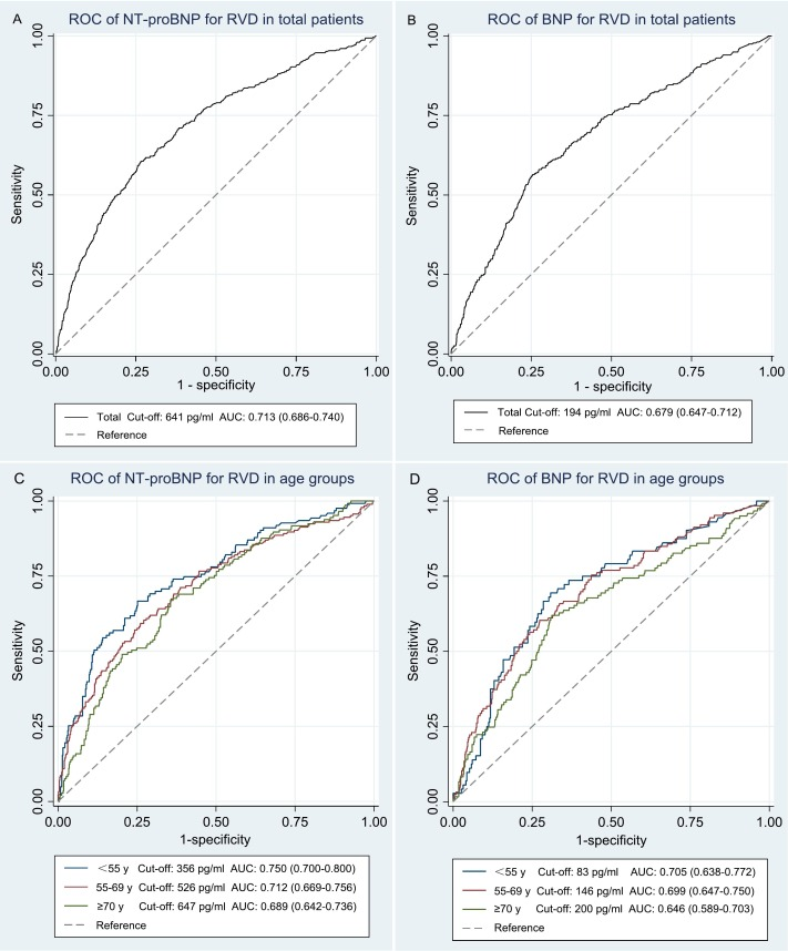
对于总体人群,NT-proBNP的最佳界值为641pg/mlAUC0.71395%CI 0.686-0.740),敏感性0.604,特异性0.736NPV0.887


对于不同年龄分层患者,<55岁患者最佳界值为356pg/mlAUC 0.750);55-69岁患者为526pg/mlAUC 0.712);≥70岁患者为647pg/mlAUC 0.689)。各年龄组界值随年龄增长呈升高趋势,且均具有较高NPV0.884-0.904)。



BNP界值



对于总体人群,BNP的最佳界值为194pg/mlAUC0.67995%CI 0.647-0.712),敏感性0.564,特异性0.746NPV0.892

对于不同年龄分层患者,<55岁患者最佳界值为83pg/mlAUC 0.705);55-69岁患者为146pg/mlAUC 0.699);≥70岁患者为200pg/mlAUC 0.646)。与NT-proBNP类似,BNP界值也随年龄升高,但趋势较平缓。


图片

图 NT-proBNP 和 BNP 用于急性 PE 患者 RVD 的 ROC


为便于临床应用,研究还评估了四舍五入至整十数的界值(如NT-proBNP总体取650pg/mlBNP总体取200pg/ml),研究发现其诊断效能与精确界值接近,且更易记忆和推广。


利钠肽水平与30天死亡率的关联



Kaplan-Meier分析显示,利钠肽水平超过上述界值的患者30天全因死亡风险显著升高:NT-proBNP≥650pg/ml者的死亡风险是低水平组的3.329倍(95%CI 2.164-5.121P<0.001);BNP≥200pg/ml者的死亡风险是低水平组的1.749倍(95%CI 1.044-2.932P=0.032)。


敏感性分析



在排除合并心血管疾病的患者中,NT-proBNPBNP的最佳界值分别升至1292pg/ml296pg/ml;肾功能不全(eGFR<60ml/min/1.73m²)患者中,界值为679pg/mlNT-proBNP)和248pg/mlBNP);肥胖(BMI≥30kg/m²)患者中,界值则降至472pg/mlNT-proBNP)和77pg/mlBNP),提示基础疾病可能影响利钠肽的诊断阈值。


研究结论




本研究首次基于大样本中国人群,确立了急性肺栓塞中右心室功能不全(RVD)的年龄调整利钠肽(NPs)界值,为临床精准诊断和风险分层提供了重要参考。



研究证实,NT-proBNPBNPRVD均有诊断价值,且界值随年龄增长显著升高:NT-proBNP<55岁、55-69岁、≥70岁人群中的最佳界值分别为356pg/ml526pg/ml647pg/mlBNP则为83pg/ml146pg/ml200pg/ml。这种年龄依赖性与利钠肽随增龄升高的生理特点一致,相比单一界值,年龄调整界值能更准确地识别RVD,尤其是在年轻患者中(<55岁患者NT-proBNP界值仅356pg/ml,显著低于总体水平)。



同时,所有界值均具有较高的阴性预测值(0.884-0.916),提示利钠肽水平低于界值时,可基本排除RVD,这对医疗资源有限、难以快速开展影像学检查的场景(如基层医院、夜间急诊)具有重要实用价值。此外,利钠肽水平超过界值的患者30天死亡风险显著升高,表明其不仅可用于RVD诊断,还能有效预测短期预后,为临床决策(如是否启动再灌注治疗)提供依据。



值得注意的是,基础疾病(如心血管病、肾功能不全、肥胖)会影响利钠肽界值,临床应用中需结合患者个体情况调整判断。未来仍需更多研究验证这些界值在不同人群中的适用性,并探索其在指导治疗策略选择(如溶栓时机、抗凝强度)中的价值。



总之,翟振国教授团队的这项研究填补了急性肺栓塞中年龄特异性利钠肽界值的空白,为RVD的精准评估和风险分层提供了新的循证医学证据,有望推动临床实践向更个体化、高效化的方向发展。


参考文献:Chen Y, Zhang Y, Zhai Z, et al. Age-adjusted cut-off values of natriuretic peptides for right ventricular dysfunction in acute pulmonary embolism: Post-hoc analysis from CURES. Int J Cardiol. 2025 Sep 15;435:133390. 


图片



(本网站所有内容,凡注明来源为“医脉通”,版权均归医脉通所有,未经授权,任何媒体、网站或个人不得转载,否则将追究法律责任,授权转载时须注明“来源:医脉通”。本网注明来源为其他媒体的内容为转载,转载仅作观点分享,版权归原作者所有,如有侵犯版权,请及时联系我们。)

0
收藏 分享